UREDBA O CARINSKIM POSTUPCIMA I CARINSKIM FORMALNOSTIMA("Sl. glasnik RS", br. 39/2019, 8/2020, 132/2021, 144/2022, 117/2023, 97/2024 i 12/2026) |
ZAHTEV ZA IZDAVANJE OBAVEZUJUĆEG OBAVEŠTENJA O SVRSTAVANJU ROBE (OOS)



ODLUKA U VEZI SA OBAVEZUJUĆIM OBAVEŠTENJEM O SVRSTAVANJU ROBE


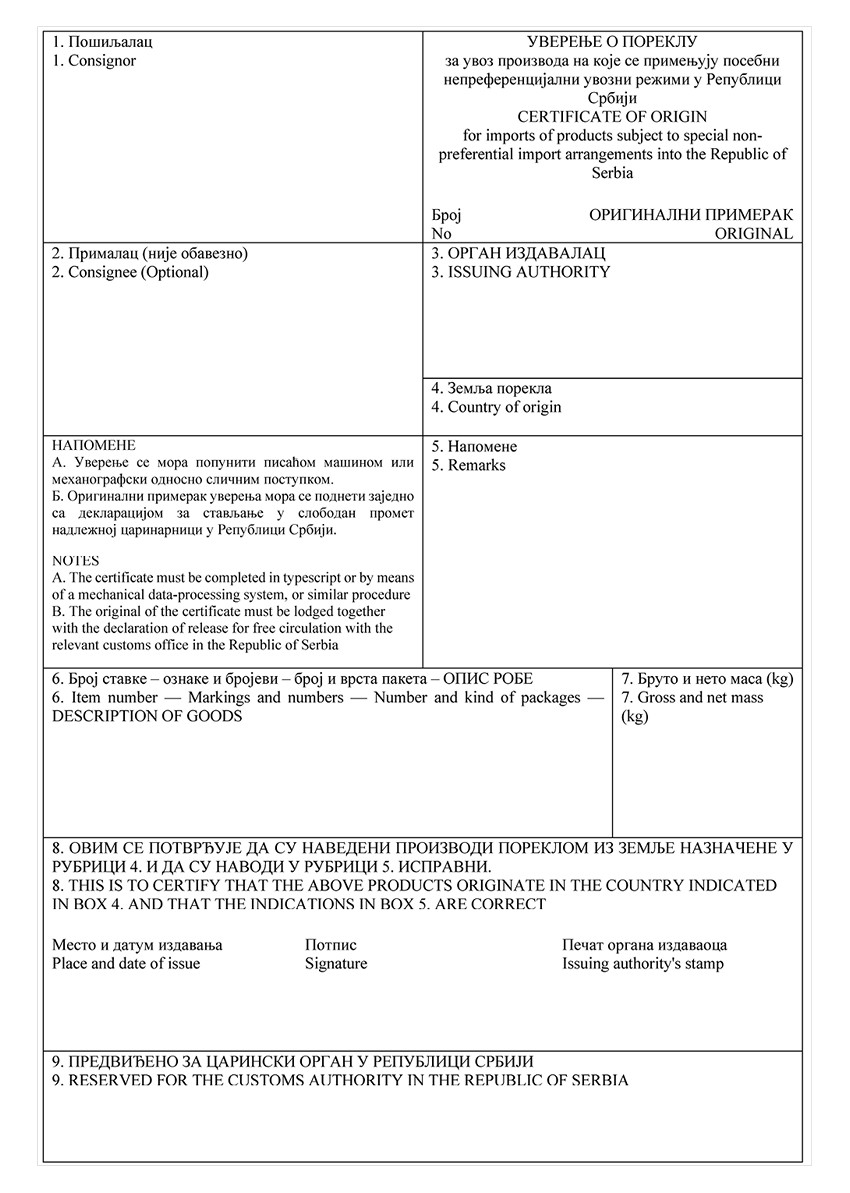
ODLUKA U VEZI SA OBAVEZUJUĆIM OBAVEŠTENJEM O POREKLU ROBE



ZAHTEV ZA DOBIJANJE STATUSA AEO


Način popunjavanja rubrika:
1. Podnosilac zahteva - uneti puno ime privrednog subjekta podnosioca zahteva.
2. Pravni status podnosioca zahteva - navesti pravni status naveden u osnivačkom aktu.
3. Datum osnivanja - uneti (brojevima) dan, mesec i godinu osnivanja.
4. Adresa osnivanja - navesti punu adresu mesta gde je privredni subjekt osnovan, uključujući i državu gde je osnovan.
5. Glavno mesto poslovanja - navesti punu adresu mesta gde se preduzimaju glavne poslovne aktivnosti.
6. Kontakt osoba - navesti puno ime, brojeve telefona i faksa i mejl adresu lica zaduženog od strane privrednog subjekta za održavanje kontakta sa carinskim organom koji obrađuje zahtev.
7. Adresa za prijem pošte - popuniti samo u slučaju kad se razlikuje od adrese osnivanja.
8. PIB: Uneti poreski identifikacioni broj.
9. Zahtevana vrsta odobrenja - prekrižiti kućicu ispred željenog sertifikata.
10. Delatnost - opisati aktivnost podnosioca zahteva.
11. Informacije o prelasku granice - navesti carinarnice preko kojih se obično vrši prelazak granice.
12. Odobrena pojednostavljenja ili olakšice, sertifikati iz člana 32. stav 2. ove uredbe i/ili status regulisanog agenta ili poznatog pošiljaoca iz člana 32. stav 5. ove uredbe - u slučaju već odobrenih pojednostavljenja, navesti vrstu pojednostavljenja, odgovarajući carinski postupak i broj odobrenja. Odgovarajući carinski postupak navesti u skladu sa načinom propisanim za popunjavanje deklaracije.
U slučaju da podnosilac zahteva poseduje jedan ili više odobrenja/sertifikata gore navedenih, navesti vrstu i broj odobrenja/sertifikata.
13, 14. i 15. Carinarnice za dokumentaciju/glavnu knjigovodstvenu evidenciju - navesti pune adrese odgovarajućih carinarnica. Ako carinarnice imaju istu adresu, popuniti samo rubriku 13.
16. Ime, datum i potpis podnosioca zahteva:
Potpis: Potpisnik treba da označi u kom svojstvu istupa. Potpisnik bi uvek trebalo da bude ovlašćeno lice.
Ime: Naziv podnosioca zahteva.
Broj priloga:
Podnosilac zahteva treba da da sledeće opšte informacije:
1) Pregled glavnih vlasnika/akcionara, uz navođenje njihovih imena i dela učešća u kapitalu. Pregled članova borda direktora. Da li su vlasnici poznati carinskim organima od ranije zbog nepoštovanja propisa.
2) Podatke o licu koje je kod podnosioca zahteva odgovorno za carinska pitanja.
3) Opis ekonomske delatnosti podnosioca zahteva.
4) Precizirati mesto poslovanja izdvojenih delova podnosioca zahteva i kratko opisati aktivnosti svakog od njih. Precizirati da li u pravnom prometu podnosilac zahteva i svaki od njegovih izdvojenih delova istupa u svoje ime i za svoj račun ili u svoje ime, a za račun drugog lica ili istupa u ime i za račun drugog lica.
5) Precizirati da li je roba kupljena od i/ili isporučena privrednim subjektima koji su povezani sa podnosiocem zahteva.
6) Opis unutrašnje organizacije podnosioca zahteva, a ako postoji, priložiti i dokumentaciju o funkcijama/nadležnostima svakog sektora i/ili službi.
7) Podatke o ukupnom broju zaposlenih i za svaki odsek posebno.
8) Imena rukovodilaca (generalnih direktora, rukovodilaca odseka, rukovodilaca odseka računovodstva, rukovodioca carinskog odseka itd.). Opisati mere koje su usvojene, a koje se primenjuju u slučaju kad je nadležni zaposleni odsutan, privremeno ili stalno.
9) Ime i položaj u okviru organizacije podnosioca zahteva lica koje je stručno za carinska pitanja. Procena nivoa znanja ovih lica u pogledu korišćenja informacionih tehnologija u carinskim i trgovinskim postupcima i uopšte u trgovinske svrhe.
10) Slaganje ili neslaganje sa objavljivanjem odobrenja AEO na listi ovlašćenih privrednih subjekata.
AEO ODOBRENJE

NALEPNICA ZA OZNAČAVANJE PREDATOG PRTLJAGA NA DOMAĆEM AERODROMU
1. KARAKTERISTIKE
Nalepnica iz člana 50. ove uredbe mora biti napravljena tako da se ne može ponovo upotrebiti.
a) Nalepnica ima najmanje 5 mm široku zelenu traku po celoj dužini dva ruba odeljaka na kojima se navodi putovanje i podaci za identifikaciju. Nadalje, zelene trake mogu se protezati i na druge delove nalepnice za prtljag, osim na ona područja na kojima je prikazan barkod nalepnice, koji mora biti otisnut na čistoj beloj podlozi (videti uzorke u tački 2. pod a));
b) Za "prtljag u hitnom postupku" nalepnica ima zelene umesto crvenih traka uz rubove (videti uzorak u tački 2. pod b))
2. MODELI


UVODNE NAPOMENE I SPISAK BITNIH OPERACIJA PRERADE ILI OBRADE KOJIMA SE STIČE NEPREFERENCIJALNO POREKLO
UVODNE NAPOMENE
1. Definicije
1.1. Upućivanja na "izradu", "proizvodnju" ili "preradu" robe obuhvataju svaku vrstu obrade, montaže ili prerade.
Načini dobijanja robe uključuju izradu, proizvodnju, preradu, uzgoj, gajenje, reprodukciju, rudarstvo, vađenje, berbu, žetvu, ribolov, zamkarenje, skupljanje, prikupljanje, lov i hvatanje.
1.2. "Materijal" uključuje sastojke, delove, komponente, podsklopove i robu koja je bila fizički ugrađena u drugu robu ili je bila podvrgnuta nekom postupku u proizvodnji druge robe.
"Materijal s poreklom" - materijal čija je zemlja porekla, utvrđena na osnovu ovih pravila, ista kao i zemlja u kojoj se taj materijal upotrebljava u proizvodnji.
"Materijal bez porekla" - materijal čija zemlja porekla, utvrđena na osnovu ovih pravila, nije ista kao i zemlja u kojoj se taj materijal upotrebljava u proizvodnji.
"Proizvod" - svaki izrađeni proizvod, čak i ako je namenjen za kasniju upotrebu u drugom postupku izrade.
1.3. Pravilo dodate vrednosti
a) "pravilo H% dodate vrednosti" - izrada u kojoj povećanje vrednosti ostvareno kao rezultat obrade i prerade i, po potrebi, ugradnje delova koji potiču iz zemlje izrade predstavlja najmanje H% cene proizvoda franko fabrika. "H" predstavlja procenat naveden za svaki tarifni broj,
b) "vrednost ostvarena kao rezultat obrade i prerade i ugradnje delova poreklom iz zemlje izrade" - povećanje vrednosti po osnovu same montaže, zajedno sa pripremnim i završnim radnjama i kontrolom, kao i po osnovu ugradnje delova poreklom iz zemlje gde se navedene radnje obavljaju, uključujući dobit i opšte troškove nastale u toj zemlji usled tih radnji.
v) "cena franko fabrika" - cena plaćena ili koja treba da bude plaćena za proizvod spreman za preuzimanje u prostorijama proizvođača u čijem je preduzeću obavljena poslednja obrada ili prerada; ta cena mora da izražava sve troškove u vezi sa izradom proizvoda (uključujući troškove svih upotrebljenih materijala), umanjene za unutrašnje poreze koji se vraćaju ili se mogu vratiti kada se dobijeni proizvod izveze ili ponovo izveze.
Ako stvarno plaćena cena ne izražava sve troškove stvarno nastale u zemlji proizvodnje u vezi sa izradom proizvoda, cena franko fabrika je zbir svih tih troškova umanjen za sve unutrašnje poreze, koji se vraćaju ili se mogu vratiti kada se dobijeni proizvod izveze ili ponovo izveze;
1.4. Potpuno dovršavanje
Termin "potpuno dovršavanje" upotrebljen u spisku znači da je potrebno obaviti sve radnje koje slede posle krojenja materijala ili pletenja ili kukičanja u određeni oblik. Međutim, potpuno dovršavanje se ne smatra nužno nepotpunim ako nije obavljena jedna završna radnja ili više njih.
1.5. Kada se u ovom aneksu upotrebljava izraz "zemlja" smatra se da se on odnosi na "zemlju ili teritoriju".
2. Primena pravila u ovom prilogu
2.1. Pravila iz ovog priloga se primenjuju na robu na osnovu njihovog svrstavanja u Harmonizovani sistem, kao i na osnovu daljih kriterijuma koji se mogu utvrditi uz tarifne brojeve ili podbrojeve Harmonizovanog sistema i koji su izrađeni posebno za svrhe ovog priloga. Tarifni broj ili podbroj Harmonizovanog sistema koji je dalje podeljen primenom tih kriterijuma u ovom prilogu se naziva "izdvojenim delom tarifnog broja" ("eh tarifni broj") ili "izdvojenim delom tarifnog podbroja" ("eh tarifni podbroj"). "Harmonizovani sistem" ili "HS" je nomenklatura robe sa izmenama u skladu sa preporukom Saveta za carinsku saradnju od 28. juna 2019. godine (HS2022) propisana Međunarodnom konvencijom o Harmonizovanom sistemu naziva i šifarskih oznaka roba.
Svrstavanje robe u tarifne brojeve i tarifne podbrojeve Harmonizovanog sistema uređeno je Osnovnim pravilima za primenjivanje Harmonizovanog sistema i odgovarajućim napomenama uz odeljke, glave i tarifne podbrojeve tog sistema. Ta pravila i napomene su deo nomenklature Carinske tarife. Radi utvrđivanja tačnog eh tarifnog broja ili eh tarifnog podbroja za određenu robu u ovom prilogu, Opšta pravila za primenjivanje Harmonizovanog sistema i odgovarajuće napomene uz odeljke, glave i tarifne podbrojeve tog sistema primenjuju se mutatis mutandis, ukoliko se ovim prilogom ne zahteva drugačije.
2.2. Upućivanje na promene u tarifnom svrstavanju u osnovnim pravilima utvrđenim dalje u tekstu primenjuju se samo na materijale bez porekla.
2.3. Materijali koji su stekli status proizvoda sa poreklom u nekoj zemlji smatraju se materijalima sa poreklom iz te zemlje u svrhu utvrđivanja porekla robe u koju je ugrađen taj materijal ili robe izrađene od tog materijala daljom obradom ili preradom u toj zemlji.
2.4. Kada držanje odvojenih zaliha međusobno zamenljivih materijala ili robe poreklom iz različitih zemalja nije praktično, zemlja porekla izmešanih međusobno zamenljivih materijala ili robe može se utvrditi na osnovu metoda upravljanja zalihama priznatog u zemlji u kojoj su materijali ili roba bili izmešani.
2.5. Radi primene osnovnih pravila zasnovanih na promeni tarifnog svrstavanja, materijali bez porekla koji ne ispunjavaju osnovno pravilo, ako nije drugačije navedeno u određenoj glavi, ne uzimaju se u obzir, pod uslovom da ukupna vrednost tih materijala ne prelazi 10% cene robe franko fabrika.
2.6. Osnovna pravila utvrđena na nivou Glave (osnovna pravila Glave) imaju istu vrednost kao osnovna pravila utvrđena na nivou podpodele i mogu se primenjivati alternativno.
3. Pregled skraćenica
Osnovna pravila na nivou podpodele, kada se zasnivaju na promeni tarifnog svrstavanja, mogu se izraziti pomoću sledećih skraćenica:
CC - promena u datu glavu iz bilo koje druge glave
CTH - promena u dati tarifni broj iz bilo kog drugog tarifnog broja
CTSH - promena u dati tarifni podbroj iz bilo kog drugog tarifnog podbroja
CTHS - promena u dati eh tarifni broj iz bilo kog drugog eh tarifnog broja tog tarifnog broja ili iz bilo kog drugog tarifnog broja
CTHS - promena u dati eh tarifni podbroj iz bilo kog drugog eh tarifnog podbroja tog tarifnog podbroja ili iz bilo kog drugog tarifnog podbroja ili tarifnog broja.
ŽIVE ŽIVOTINJE; PROIZVODI ŽIVOTINJSKOG POREKLA
MESO I OSTALI JESTIVI KLANIČNI PROIZVODI
Preostalo pravilo uz ovu glavu koje se primenjuje za mešavine:
(1) Radi primene ovog preostalog pravila, "mešanje" je svrsishodna i srazmerno kontrolisana operacija, koja se sastoji u spajanju dva ili više zamenljivih materijala.
(2) Zemlja porekla mešavine proizvoda iz ove glave je ona zemlja iz koje su poreklom materijali koji čine više od 50% mase mešavine. Masa materijala istog porekla uzima se u obzir zajedno.
(3) Kada nijedan od korišćenih materijala ne zadovoljava zahtevani procenat, poreklo mešavine je zemlja u kojoj je mešanje obavljeno.
Napomena uz ovu glavu:
Ako osnovno pravilo za tar. br. 0201 do 0206 nije ispunjeno, smatra se da je meso (klanični proizvodi) poreklom iz zemlje u kojoj su životinje, od kojih je dobijeno, najduže tovljene ili gajene.
Preostalo pravilo uz ovu glavu:
Ako se zemlja porekla ne može utvrditi primenom osnovnih pravila i drugih preostalih pravila uz ovu glavu, zemlja porekla robe je zemlja iz koje potiče najveći deo materijala, utvrđen na osnovu mase materijala.
Tarifni broj HS 2022 |
Opis robe |
Osnovna pravila |
0201 |
Meso goveđe, sveže ili rashlađeno |
Zemlja porekla robe iz ovog tarifnog broja je zemlja u kojoj je životinja tovljena najmanje tri meseca pre klanja. |
0202 |
Meso goveđe, smrznuto |
Zemlja porekla robe iz ovog tarifnog broja je zemlja u kojoj je životinja tovljena najmanje tri meseca pre klanja. |
0203 |
Meso svinjsko, sveže, rashlađeno ili smrznuto |
Zemlja porekla robe iz ovog tarifnog broja je zemlja u kojoj je životinja tovljena najmanje dva meseca pre klanja. |
0204 |
Meso ovčje ili kozje, sveže, rashlađeno ili smrznuto |
Zemlja porekla robe iz ovog tarifnog broja je zemlja u kojoj je životinja tovljena najmanje dva meseca pre klanja. |
0205 |
Meso konjsko, magareće od mula ili od mazgi, sveže, rashlađeno ili smrznuto |
Zemlja porekla robe iz ovog tarifnog broja je zemlja u kojoj je životinja tovljena najmanje tri meseca pre klanja. |
0206 |
Ostali jestivi klanični proizvodi od mesa, goveđeg, svinjskog, ovčjeg, kozjeg, konjskog, magarećeg, od mula ili od mazgi, sveži, rashlađeni ili smrznuti |
Zemlja porekla robe iz ovog tarifnog broja je zemlja u kojoj je životinja tovljena najmanje tri meseca pre klanja, ili kada je reč o svinjama, ovcama ili kozama, dva meseca pre klanja |
MLEKO I PROIZVODI OD MLEKA; ŽIVINSKA I PTIČJA JAJA; PRIRODNI MED; JESTIVI PROIZVODI ŽIVOTINJSKOG POREKLA, NEPOMENUTI NITI OBUHVAĆENI NA DRUGOM MESTU
Preostalo pravilo uz ovu glavu koje se primenjuje za mešavine:
(1) Radi primene ovog preostalog pravila, "mešanje" je svrsishodna i srazmerno kontrolisana operacija koja se sastoji u spajanju dva ili više zamenljivih materijala.
(2) Zemlja porekla mešavine proizvoda iz ove glave je ona zemlja iz koje su poreklom materijali koji čine više od 50% mase mešavine; međutim, zemlja porekla mešavine proizvoda iz tar. br. 0401-0404 je ona zemlja iz koje su poreklom materijali koji čine više od 50% mase suve materije mešavine. Masa materijala istog porekla uzima se u obzir zajedno.
(3) Kada nijedan od korišćenih materijala ne zadovoljava zahtevani procenat, poreklo mešavine je zemlja u kojoj je mešanje obavljeno.
Preostalo pravilo uz ovu glavu:
Ako se zemlja porekla ne može utvrditi primenom osnovnih pravila i drugih preostalih pravila uz ovu glavu, zemlja porekla robe je zemlja iz koje potiče najveći deo materijala, utvrđen na osnovu mase materijala.
Tarifni broj HS 2022 |
Opis robe |
Osnovna pravila |
ex 0408 |
- Živinska i ptičja jaja bez ljuske, sušena, i žumanca od jaja, sušena |
Zemlja porekla robe je zemlja u kojoj je obavljeno sušenje (posle razbijanja i odvajanja, po potrebi): |
BILJNI PROIZVODI
KAFA, ČAJ, MATE ČAJ I ZAČINI
Preostalo pravilo uz ovu glavu koje se primenjuje za mešavine:
(1) Radi primene ovog preostalog pravila, "mešanje" je svrsishodna i srazmerno kontrolisana operacija koja se sastoji u spajanju dva ili više zamenljivih materijala.
(2) Zemlja porekla mešavine proizvoda iz ove glave je ona zemlja iz koje su poreklom materijali koji čine više od 50% mase mešavine. Masa materijala istog porekla uzima se u obzir zajedno.
(3) Kada nijedan od korišćenih materijala ne zadovoljava zahtevani procenat, poreklo mešavine je zemlja u kojoj je mešanje obavljeno.
Preostalo pravilo uz ovu glavu:
Ako se zemlja porekla ne može utvrditi primenom osnovnih pravila i drugih preostalih pravila uz ovu glavu, zemlja porekla robe je zemlja iz koje potiče najveći deo materijala, utvrđen na osnovu mase materijala.
Tarifni broj HS 2022 |
Opis robe |
Osnovna pravila |
|
- Kafa, nepržena: |
|
0901 11 |
- - Sa kofeinom |
Zemlja porekla robe iz ovog tarifnog podbroja je zemlja u kojoj je dobijena u svom prirodnom ili neprerađenom stanju. |
0901 12 |
- - Bez kofeina |
Zemlja porekla robe iz ovog tarifnog podbroja je zemlja u kojoj je dobijena u svom prirodnom ili neprerađenom stanju. |
|
- Kafa, pržena: |
|
0901 21 |
- - Sa kofeinom |
CTSH |
0901 22 |
- - Bez kofeina |
CTSH |
PROIZVODI MLINSKE INDUSTRIJE; SLAD; SKROB; INULIN; GLUTEN OD PŠENICE
Preostalo pravilo uz ovu glavu koje se primenjuje za mešavine:
(1) Radi primene ovog preostalog pravila, "mešanje" je svrsishodna i srazmerno kontrolisana operacija koja se sastoji u spajanju dva zamenljiva ili više zamenljivih materijala.
(2) Zemlja porekla mešavine proizvoda iz ove glave je ona zemlja iz koje su poreklom materijali koji čine više od 50% mase mešavine. Masa materijala istog porekla uzima se u obzir zajedno.
(3) Kada nijedan od korišćenih materijala ne zadovoljava zahtevani procenat, poreklo mešavine je zemlja u kojoj je mešanje obavljeno.
Preostalo pravilo uz ovu glavu:
Ako se zemlja porekla ne može utvrditi primenom osnovnih pravila i drugih preostalih pravila uz ovu glavu, zemlja porekla robe je zemlja iz koje potiče najveći deo materijala, utvrđen na osnovu mase materijala.
Tarifni broj HS 2022 |
Opis robe |
Osnovna pravila |
1101 |
Brašno od pšenice ili napolice |
CC |
1102 |
Brašno od žitarica osim pšenice ili napolice |
CC |
1103 |
Prekrupa od žitarica, griz i pelete |
CC |
1104 |
Žitarice u zrnu drugačije obrađene (npr.: oljuštene, valjane u ljuspicama, perlirane, obrezane ili gnječene), osim pirinča iz tarifnog broja 1006; Klice od žitarica, cele, valjane, u ljuspicama ili mlevene |
CC |
1105 |
Brašno, griz, prah, ljuspice, granule i peleti od krompira |
CC |
1106 |
Brašno, griz i prah, od sušenog mahunastog povrća koje se svrstava u tarifni broj 0713, od sagoa korenja ili krtola iz tarifnog broja 0714, ili od proizvoda iz Glave 8 |
CC |
1107 |
Slad, pržen ili nepržen |
CC |
1108 |
Skrob; Inulin |
CTH |
1109 |
Gluten od pšenice, osušen ili neosušen |
CTH |
BILJNI MATERIJALI ZA PLETARSTVO; BILJNI PROIZVODI NA DRUGOM MESTU NEPOMENUTI NITI OBUHVAĆENI
Preostalo pravilo uz ovu glavu koje se primenjuje za mešavine:
(1) Radi primene ovog preostalog pravila, "mešanje" je svrsishodna i srazmerno kontrolisana operacija koja se sastoji u spajanju dva zamenljiva ili više zamenljivih materijala.
(2) Zemlja porekla mešavine proizvoda iz ove glave je ona zemlja iz koje su poreklom materijali koji čine više od 50% mase mešavine. Masa materijala istog porekla uzima se u obzir zajedno.
(3) Kada nijedan od korišćenih materijala ne zadovoljava zahtevani procenat, poreklo mešavine je zemlja u kojoj je mešanje obavljeno.
Preostalo pravilo uz ovu glavu:
Ako se zemlja porekla ne može utvrditi primenom osnovnih pravila i drugih preostalih pravila uz ovu glavu, zemlja porekla robe je zemlja iz koje potiče najveći deo materijala, utvrđen na osnovu mase materijala.
Tarifni broj HS 2022 |
Opis robe |
Osnovna pravila |
ex 1404 |
Linters od pamuka, beljen |
Zemlja porekla robe je zemlja u kojoj je proizvod izrađen od sirovog pamuka, kada vrednost tog sirovog pamuka ne prelazi 50% cene proizvoda franko fabrika. |
PROIZVODI PREHRAMBENE INDUSTRIJE; PIĆA, ALKOHOLI I SIRĆE; DUVAN I PROIZVODI ZAMENE DUVANA
ŠEĆER I PROIZVODI OD ŠEĆERA
Preostalo pravilo uz ovu glavu koje se primenjuje za mešavine:
(1) Radi primene ovog preostalog pravila, "mešanje" je svrsishodna i srazmerno kontrolisana operacija koja se sastoji u spajanju dva zamenljiva ili više zamenljivih materijala.
(2) Zemlja porekla mešavine proizvoda iz ove glave je ona zemlja iz koje su poreklom materijali koji čine više od 50% mase mešavine. Masa materijala istog porekla uzima se u obzir zajedno.
(3) Kada nijedan od korišćenih materijala ne zadovoljava zahtevani procenat, poreklo mešavine je zemlja u kojoj je mešanje obavljeno.
Preostalo pravilo uz ovu glavu:
Ako se zemlja porekla ne može utvrditi primenom osnovnih pravila i drugih preostalih pravila uz ovu glavu, zemlja porekla robe je zemlja iz koje potiče najveći deo materijala, utvrđen na osnovu mase materijala.
Tarifni broj HS 2022 |
Opis robe |
Osnovna pravila |
1701 |
Šećer od šećerne trske ili šećerne repe i hemijski čista saharoza, u čvrstom stanju |
CC |
1702 |
Ostali šećeri, uključujući hemijski čistu laktozu, maltozu, glukozu i fruktozu u čvrstom stanju; Šećerni sirupi bez dodatih sredstava za aromatizaciju ili materija za bojenje; Veštački med, pomešan ili nepomešan sa prirodnim medom; Karamel |
Kao što je navedeno za ex tarifne brojeve |
ex 1702 (a) |
- hemijski čista laktoza, maltoza, glukoza i fruktoza |
CTHS |
ex 1702 (b) |
- ostalo |
CC |
1703 |
Melase dobijene prilikom ekstrakcije ili rafinisanja šećera |
CC |
1704 |
Proizvodi od šećera (uključujući belu čokoladu) koji ne sadrže kakao |
CTH |
PROIZVODI OD POVRĆA, VOĆA, JEZGRASTOG VOĆA, ILI OSTALIH DELOVA BILJA
Preostalo pravilo uz ovu glavu koje se primenjuje za mešavine
(1) Radi primene ovog preostalog pravila, "mešanje" je svrsishodna i srazmerno kontrolisana operacija koja se sastoji u spajanju dva zamenljiva ili više zamenljivih materijala.
(2) Zemlja porekla mešavine proizvoda iz ove glave je ona zemlja iz koje su poreklom materijali koji čine više od 50% mase mešavine; međutim, zemlja porekla mešavine proizvoda iz tarifnog broja 2009 (sokovi od voća ili jezgrastog voća (uključujući širu od grožđa i kokosovu vodu)) i sokovi od povrća, nefermentisani i bez sadržaja dodatog alkohola, sa sadržajem dodatog šećera ili druge materije za zaslađivanje ili bez sadržaja dodatog šećera ili druge materije za zaslađivanje jeste ona zemlja iz koje su poreklom materijali koji čine više od 50% mase suve materije mešavine. Masa materijala istog porekla uzima se u obzir zajedno.
Preostalo pravilo uz ovu glavu:
Ako se zemlja porekla ne može utvrditi primenom osnovnih pravila i drugih preostalih pravila uz ovu glavu, zemlja porekla robe je zemlja iz koje potiče najveći deo materijala, utvrđen na osnovu mase materijala.
Tarifni broj HS 2022 |
Opis robe |
Osnovna pravila |
ex 2009 |
Sok od grožđa |
CTH, osim od šire od grožđa iz tarifnog broja 2204 |
PIĆA, ALKOHOLI I SIRĆE
Preostalo pravilo uz ovu glavu koje se primenjuje za mešavine
(1) Radi primene ovog preostalog pravila, "mešanje" je svrsishodna i srazmerno kontrolisana operacija koja se sastoji u spajanju dva zamenljiva ili više zamenljivih materijala.
(2) Zemlja porekla mešavine proizvoda iz ove glave je ona zemlja iz koje su poreklom materijali koji čine više od 50% mase mešavine; međutim, zemlja porekla mešavine vina (tarifni broj 2204), vermuta (tarifni broj 2205), alkohola, likera i alkoholnih pića (tarifni broj 2208) jeste ona zemlja iz koje su poreklom materijali koji čine više od 85% zapremine mešavine. Masa ili količina materijala istog porekla uzima se u obzir zajedno.
(3) Kada nijedan od korišćenih materijala ne zadovoljava zahtevani procenat, poreklo mešavine je zemlja u kojoj je mešanje obavljeno.
Preostalo pravilo uz ovu glavu:
Ako se zemlja porekla ne može utvrditi primenom osnovnih pravila i drugih preostalih pravila uz ovu glavu, zemlja porekla robe je zemlja iz koje potiče najveći deo materijala, utvrđen na osnovu mase materijala.
Tarifni broj HS 2022 |
Opis robe |
Osnovna pravila |
ex 2204 |
Vino od svežeg grožđa namenjeno za proizvodnju vermuta koje sadrži dodatu širu od svežeg grožđa, koncentrovanu ili nekoncentrovanu, ili alkohol |
Zemlja porekla robe je zemlja u kojoj je grožđe dobijeno u svom prirodnom ili neprerađenom stanju. |
ex 2205 |
Vermut |
Proizvodnja od vina od svežeg grožđa koje sadrži širu od svežeg grožđa, koncentrovanu ili nekoncentrovanu, ili alkohol, iz tarifnog broja 2204 |
PROIZVODI HEMIJSKE I SRODNIH INDUSTRIJA
SAPUN, ORGANSKA POVRŠINSKI AKTIVNA SREDSTVA, PREPARATI ZA PRANJE, PREPARATI ZA PODMAZIVANJE, VEŠTAČKI VOSKOVI, PRIPREMLJENI VOSKOVI, PREPARATI ZA POLIRANJE ILI ZA UKLANJANJE MASNOĆE, SVEĆE I SLIČNI PROIZVODI, PASTE ZA MODELOVANJE, "ZUBARSKI VOSKOVI" I ZUBARSKI PREPARATI NA BAZI GIPSA
Preostalo pravilo uz ovu glavu:
Ako se zemlja porekla ne može utvrditi primenom osnovnih pravila, zemlja porekla robe je zemlja iz koje potiče najveći deo materijala, utvrđen na osnovu mase materijala.
Tarifni broj HS 2022 |
Opis robe |
Osnovna pravila |
ex 3401 |
Filc ili netkani tekstil, impregnisani, premazani ili prevučeni sapunom ili deterdžentom |
Proizvodnja od filca ili netkanog tekstila |
ex 3405 |
Filc ili netkani tekstil, impregnisani, premazani ili prevučeni sredstvima za poliranje i kremama, za obuću, nameštaj, podove, karoserije, staklo ili metal, pastama i praškovima za ribanje i sličnim preparatima |
Proizvodnja od filca ili netkanog tekstila |
BELANČEVINASTE MATERIJE; MODIFIKOVANI SKROBOVI; LEPKOVI; ENZIMI
Preostalo pravilo uz ovu glavu:
Ako se zemlja porekla ne može utvrditi primenom osnovnih pravila, zemlja porekla robe je zemlja iz koje potiče najveći deo materijala, utvrđen na osnovu mase materijala.
Tarifni broj HS 2022 |
Opis robe |
Osnovna pravila |
ex 3502 |
Albumin iz jaja, sušen |
Sušenje (posle razbijanja i odvajanja, po potrebi): |
SIROVA KRUPNA I SITNA KOŽA SA DLAKOM ILI BEZ DLAKE, ŠTAVLJENA KOŽA, KRZNA I PROIZVODI OD KRZNA; SEDLARSKI I SARAČKI PROIZVODI; PREDMETI ZA PUTOVANJE, RUČNE TORBE I SLIČNI KONTEJNERI; PROIZVODI OD ŽIVOTINJSKIH CREVA (OSIM SVILENOG KETGUTA)
PROIZVODI OD KOŽE, SEDLARSKI I SARAČKI PROIZVODI; PROIZVODI ZA PUTOVANJE, RUČNE TORBE I SLIČNI KONTEJNERI I PROIZVODI OD ŽIVOTINJSKIH CREVA (OSIM SVILENOG KETGUTA)
Preostalo pravilo uz ovu glavu:
Ako se zemlja porekla ne može utvrditi primenom osnovnih pravila, zemlja porekla robe je zemlja iz koje potiče najveći deo materijala, utvrđen na osnovu vrednosti materijala.
Tarifni broj HS 2022 |
Opis robe |
Osnovna pravila |
ex 4203 |
- Odeća, od kože ili veštačke kože |
Potpuno dovršavanje |
CELULOZA OD DRVETA ILI DRUGIH VLAKNASTIH CELULOZNIH MATERIJALA; HARTIJA I KARTON (OTPACI I OSTACI) ZA PONOVNU PRERADU; HARTIJA I KARTON I PROIZVODI OD HARTIJE I KARTONA
ŠTAMPANE KNJIGE, NOVINE, SLIKE I OSTALI PROIZVODI GRAFIČKE INDUSTRIJE; RUKOPISI, KUCANI TEKSTOVI I PLANOVI
Preostalo pravilo uz ovu glavu:
Ako se zemlja porekla ne može utvrditi primenom osnovnih pravila, zemlja porekla robe je zemlja iz koje potiče najveći deo materijala, utvrđen na osnovu vrednosti materijala.
Tarifni broj HS 2022 |
Opis robe |
Osnovna pravila |
ex 4910 |
Keramički kalendari bilo koje vrste, štampani, uključujući kalendar-blokove, dekorisani |
CTH |
TEKSTIL I PROIZVODI OD TEKSTILA
SVILA
Napomena uz ovu glavu:
Termoštampu mora pratiti štampa na transfer papiru da bi se moglo smatrati da se termoštampom stiče status robe sa poreklom.
Preostalo pravilo uz ovu glavu:
Ako se zemlja porekla ne može utvrditi primenom osnovnih pravila, zemlja porekla robe je zemlja iz koje potiče najveći deo materijala, utvrđen na osnovu vrednosti materijala.
Tarifni broj HS 2022 |
Opis robe |
Osnovna pravila |
5001 |
Čaure svilene bube podesne za odmotavanje |
CTH |
5002 |
Sirova svila (neupredena) |
CTH |
5003 |
Otpaci od svile (uključujući čaure nepodesne za odmotavanje, otpatke prediva i raščupane tekstilne materijale) |
CTH |
5004 |
Svileno predivo (osim prediva od otpadaka svile) nepripremljeno za prodaju na malo |
Proizvodnja od: |
5005 |
Predivo od otpadaka svile, nepripremljeno za prodaju na malo |
Proizvodnja od: |
5006 |
Svileno predivo i predivo od otpadaka svile, pripremljeno za prodaju na malo; Svileni ketgut |
Kao što je navedeno za ex tarifne brojeve |
ex 5006 (a) |
svileni ketgut |
CTH |
ex 5006 (b) |
ostalo |
Proizvodnja od: |
5007 |
Tkani materijali od svile ili od otpadaka svile |
Proizvodnja od prediva |
VUNA, FINA ILI GRUBA ŽIVOTINJSKA DLAKA; PREDIVO I TKANI MATERIJALI OD KONJSKE DLAKE
Napomena uz ovu glavu:
Termoštampu mora pratiti štampa na transfer papiru da bi se moglo smatrati da se termoštampom stiče status robe sa poreklom.
Preostalo pravilo uz ovu glavu:
Ako se zemlja porekla ne može utvrditi primenom osnovnih pravila, zemlja porekla robe je zemlja iz koje potiče najveći deo materijala, utvrđen na osnovu vrednosti materijala.
Tarifni broj HS 2022 |
Opis robe |
Osnovna pravila |
5101 |
Vuna, nevlačena niti češljana |
Kao što je navedeno za ex tarifne brojeve |
ex 5101 (a) |
- masna vuna, uključujući vunu pranu na ovci |
CTH |
ex 5101 (b) |
- odmašćena, nekarbonizovana |
Proizvodnja od masne vune, uključujući i otpatke vune, čija vrednost ne prelazi 50% cene proizvoda franko fabrika |
ex 5101 (v) |
- karbonizovana |
Proizvodnja od odmašćene, nekarbonizovane vune, čija vrednost ne prelazi 50% cene proizvoda franko fabrika |
5102 |
Fina ili gruba životinjska dlaka, nevlačena niti češljana |
CTH |
5103 |
Otpaci od vune ili fine ili grube životinjske dlake, uključujući otpatke prediva ali isključujući raščupane tekstilne materijale |
Kao što je navedeno za ex tarifne brojeve |
ex 5103 (a) |
karbonizovani |
Proizvodnja od nekarbonizovanih otpadaka vune, čija vrednost ne prelazi 50% cene proizvoda franko fabrika |
ex 5103 (b) |
ostali |
CTH |
5104 |
Raščupani tekstilni materijali od vune ili fine ili grube životinjske dlake |
CTH |
5105 |
Vuna i fina ili gruba životinjska dlaka, vlačena ili češljana |
CTH |
5106 |
Predivo od vlačene vune, nepripremljeno za prodaju na malo |
Proizvodnja od: |
5107 |
Predivo od češljane vune, nepripremljeno za prodaju na malo |
Proizvodnja od: |
5108 |
Predivo od fine životinjske dlake (vlačeno ili češljano), nepripremljeno za prodaju na malo |
Proizvodnja od: |
5109 |
Predivo od vune ili fine životinjske dlake pripremljeno za prodaju na malo |
Proizvodnja od: |
5110 |
Predivo od grube životinjske ili konjske dlake (uključujući obavijeno predivo od konjske dlake), pripremljeno ili nepripremljeno za prodaju na malo |
Proizvodnja od: |
5111 |
Tkani materijali od vlačene vune ili od vlačene fine životinjske dlake |
Proizvodnja od prediva |
5112 |
Tkani materijali od češljane vune ili od češljane fine životinjske dlake |
Proizvodnja od prediva |
5113 |
Tkani materijali od grube životinjske dlake ili od konjske dlake |
Proizvodnja od prediva |
PAMUK
Preostalo pravilo uz ovu glavu:
Ako se zemlja porekla ne može utvrditi primenom osnovnih pravila, zemlja porekla robe je zemlja iz koje potiče najveći deo materijala, utvrđen na osnovu vrednosti materijala.
Tarifni broj HS 2022 |
Opis robe |
Osnovna pravila |
5201 |
Pamuk, nevlačen niti češljan |
Kao što je navedeno za ex tarifne brojeve |
ex 5201 (a) |
beljen |
Proizvodnja od sirovog pamuka, čija vrednost ne prelazi 50% cene proizvoda franko fabrika |
ex 5201 (b) |
ostali |
CTH |
5202 |
Otpaci od pamuka (uključujući otpatke prediva i raščupane tekstilne materijale) |
CTH |
5203 |
Pamuk, vlačen ili češljan |
CTH |
5204 |
Konac za šivenje od pamuka, nepripremljen ili pripremljen za prodaju na malo |
Proizvodnja od: |
5205 |
Predivo od pamuka (osim konca za šivenje), sa sadržajem 85% ili više po masi pamuka, nepripremljeno za prodaju na malo |
Proizvodnja od: |
5206 |
Predivo od pamuka (osim konca za šivenje) sa sadržajem manje od 85% po masi pamuka, nepripremljeno za prodaju na malo |
Proizvodnja od: |
5207 |
Predivo od pamuka (osim konca za šivenje), pripremljeno za prodaju na malo |
Proizvodnja od: |
5208 |
Tkani materijali od pamuka, sa sadržajem 85% ili više po masi pamuka, površinske mase ne preko 200 g/m2 |
Proizvodnja od prediva |
5209 |
Tkani materijali od pamuka, sa sadržajem 85% ili više po masi pamuka, površinske mase preko 200 g/m2 |
Proizvodnja od prediva |
5210 |
Tkani materijali od pamuka, sa sadržajem manje od 85% po masi pamuka, u mešavini pretežno ili samo sa veštačkim ili sintetičkim vlaknima, površinske mase ne preko 200 g/m2 |
Proizvodnja od prediva |
5211 |
Tkani materijali od pamuka, sa sadržajem manje od 85% po masi pamuka, u mešavini pretežno ili samo sa veštačkim ili sintetičkim vlaknima, površinske mase preko 200 g/m2 |
Proizvodnja od prediva |
5212 |
Ostali tkani materijali od pamuka |
Proizvodnja od prediva |
OSTALA BILJNA TEKSTILNA VLAKNA; PREDIVO OD HARTIJE I TKANI MATERIJALI OD PREDIVA OD HARTIJE
Preostalo pravilo uz ovu glavu:
Ako se zemlja porekla ne može utvrditi primenom osnovnih pravila, zemlja porekla robe je zemlja iz koje potiče najveći deo materijala, utvrđen na osnovu vrednosti materijala.
Tarifni broj HS 2022 |
Opis robe |
Osnovna pravila |
5301 |
Lan, sirov ili obrađen ali nepreden; Kučina i otpaci od lana (uključujući i otpatke prediva i raščupane tekstilne materijale) |
CTH |
5302 |
Konoplja (Cannabis sativa L.), sirova ili obrađena ali nepredena; Kučina i otpaci od konoplje (uključujući i otpatke prediva i raščupane ostatke) |
CTH |
5303 |
Juta i ostala tekstilna likasta vlakna (isključujući lan, konoplju i ramiju), sirova ili obrađena ali nepredena; Kučina i otpaci od ovih vlakana (uključujući otpatke prediva i raščupane tekstilne materijale) |
CTH |
[5304] |
|
|
5305 |
Kokosovo vlakno, abaka (manila ili Musa textilis Nee), ramija i ostala biljna tekstilna vlakna na drugom mestu nepomenuta niti obuhvaćena, sirova ili obrađena ali nepredena; Kučina, kratka vlakna ostala od češljanja i otpaci od tih vlakana (uključujući otpatke prediva i raščupane tekstilne materijale). |
CTH |
5306 |
Predivo od lana |
Proizvodnja od: |
5307 |
Predivo od jute ili ostalih tekstilnih likastih vlakana iz tarifnog broja 5303 |
Proizvodnja od: |
5308 |
Predivo od ostalih biljnih tekstilnih vlakana; Predivo od hartije |
Kao što je navedeno za ex tarifne brojeve |
ex 5308 (a) |
- predivo od ostalih biljnih tekstilnih vlakana |
Proizvodnja od: |
ex 5308 (b) |
- predivo od hartije |
CTH |
5309 |
Tkani materijali od lana |
Proizvodnja od prediva |
5310 |
Tkani materijali od jute ili ostalih tekstilnih likastih vlakana iz tarifnog broja 5303 |
Proizvodnja od prediva |
5311 |
Tkani materijali od ostalih biljnih tekstilnih vlakana; Tkani materijali od prediva od hartije. |
Kao što je navedeno za ex tarifne brojeve |
ex 5311 (a) |
tkani materijali od ostalih biljnih tekstilnih vlakana |
Proizvodnja od prediva |
ex 5311 (b) |
tkani materijali od prediva od hartije |
CTH |
VEŠTAČKI ILI SINTETIČKI FILAMENTI; TRAKE I SLIČNO OD VEŠTAČKIH ILI SINTETIČKIH TEKSTILNIH MATERIJALA
Preostalo pravilo uz ovu glavu:
Ako se zemlja porekla ne može utvrditi primenom osnovnih pravila, zemlja porekla robe je zemlja iz koje potiče najveći deo materijala, utvrđen na osnovu vrednosti materijala.
Tarifni broj HS 2022 |
Opis robe |
Osnovna pravila |
5401 |
Konac za šivenje od veštačkih ili sintetičkih filamenata, pripremljen ili nepripremljen za prodaju na malo |
Proizvodnja od: |
5402 |
Predivo od sintetičkih filamenata (osim konca za šivenje), nepripremljeno za prodaju na malo, uključujući sintetičke monofilamente finoće manje od 67 deciteksa |
Proizvodnja od: |
5403 |
Predivo od veštačkih filamenata (osim konca za šivenje), nepripremljeno za prodaju na malo, uključujući veštačke monofilamente finoće manje od 67 deciteksa |
Proizvodnja od: |
5404 |
Sintetički monofilamenti, finoće od 67 deciteksa ili veće i čija dimenzija poprečnog preseka ne prelazi 1 mm; Trake i slično (npr. veštačka slama) od sintetičkih tekstilnih materijala prividne širine ne preko 5 mm |
Proizvodnja od: |
5405 |
Veštački monofilamenti, finoće od 67 deciteksa ili veće i čija dimenzija poprečnog preseka ne prelazi 1 mm; Trake i slično (npr. veštačka slama) od veštačkih tekstilnih materijala prividne širine ne preko 5 mm |
Proizvodnja od: |
5406 |
Predivo od veštačkih ili sintetičkih filamenata (osim konca za šivenje), pripremljeno za prodaju na malo |
Proizvodnja od: |
5407 |
Tkani materijali od prediva od sintetičkih filamenata, uključujući tkane materijale dobijene od proizvoda iz tarifnog broja 5404 |
Proizvodnja od prediva |
5408 |
Tkani materijali od prediva od veštačkih filamenata, uključujući tkane materijale dobijene od proizvoda iz tarifnog broja 5405 |
Proizvodnja od prediva |
VEŠTAČKA ILI SINTETIČKA VLAKNA, SEČENA
Napomena uz ovu glavu:
Termoštampu mora pratiti štampa na transfer papiru da bi se moglo smatrati da se termoštampom stiče status robe sa poreklom.
Preostalo pravilo uz ovu glavu:
Ako se zemlja porekla ne može utvrditi primenom osnovnih pravila, zemlja porekla robe je zemlja iz koje potiče najveći deo materijala, utvrđen na osnovu vrednosti materijala.
Tarifni broj HS 2022 |
Opis robe |
Osnovna pravila |
5501 |
Kablovi od sintetičkih filamenata |
Proizvodnja od hemijskih materijala ili tekstilne celuloze |
5502 |
Kablovi od veštačkih filamenata |
Proizvodnja od hemijskih materijala ili tekstilne celuloze |
5503 |
Sintetička vlakna sečena, nevlačena, nečešljana niti drugačije obrađena za predenje |
Proizvodnja od hemijskih materijala ili tekstilne celuloze |
5504 |
Veštačka vlakna sečena, nevlačena, nečešljana niti drugačije obrađena za predenje |
Proizvodnja od hemijskih materijala ili tekstilne celuloze |
5505 |
Otpaci (uključujući kratka vlakna ostala od češljanja, otpatke od prediva i raščupane tekstilne materijale) od veštačkih ili sintetičkih vlakana |
Proizvodnja od hemijskih materijala ili tekstilne celuloze |
5506 |
Sintetička vlakna sečena (štapel), vlačena, češljana ili drugačije obrađena za predenje |
Proizvodnja od hemijskih materijala ili tekstilne celuloze ili otpadaka iz tarifnog broja 5505 |
5507 |
Veštačka vlakna sečena, vlačena, češljana ili drugačije obrađena za predenje |
Proizvodnja od hemijskih materijala ili tekstilne celuloze ili otpadaka iz tarifnog broja 5505 |
5508 |
Konac za šivenje od veštačkih ili sintetičkih vlakana, sečenih (štapel), pripremljen ili nepripremljen za prodaju na malo |
Proizvodnja od: |
5509 |
Predivo (osim konca za šivenje) od sintetičkih vlakana sečenih, nepripremljeno za prodaju na malo |
Proizvodnja od: |
5510 |
Predivo (osim konca za šivenje) od veštačkih vlakana sečenih, nepripremljeno za prodaju na malo |
Proizvodnja od: |
5511 |
Predivo (osim konca za šivenje) od veštačkih ili sintetičkih vlakana sečenih, pripremljeno za prodaju na malo |
Proizvodnja od: |
5512 |
Tkani materijali sa sadržajem 85% ili više po masi sintetičkih vlakana, sečenih |
Proizvodnja od prediva |
5513 |
Tkani materijali od sintetičkih vlakana, sečenih, sa sadržajem manje od 85% po masi tih vlakana, u mešavini pretežno ili samo sa pamukom, površinske mase ne preko 170 g/m2 |
Proizvodnja od prediva |
5514 |
Tkani materijali od sintetičkih vlakana, sečenih, sa sadržajem manje od 85% po masi tih vlakana, u mešavini pretežno ili samo sa pamukom, površinske mase preko 170 g/m2 |
Proizvodnja od prediva |
5515 |
Ostali tkani materijali od sintetičkih vlakana sečenih |
Proizvodnja od prediva |
5516 |
Tkani materijali od veštačkih vlakana sečenih |
Proizvodnja od prediva |
VATA, FILC I NETKANI TEKSTIL; SPECIJALNA PREDIVA; KANAPI, UŽAD, KONOPCI I KABLOVI I PROIZVODI OD NJIH
Napomena uz ovu glavu:
Termoštampu mora pratiti štampa na transfer papiru da bi se moglo smatrati da se termoštampom stiče status robe sa poreklom.
Preostalo pravilo uz ovu glavu:
Ako se zemlja porekla ne može utvrditi primenom osnovnih pravila, zemlja porekla robe je zemlja iz koje potiče najveći deo materijala, utvrđen na osnovu vrednosti materijala.
Tarifni broj HS 2022 |
Opis robe |
Osnovna pravila |
5601 |
Vata od tekstilnih materijala i proizvodi od vate; Tekstilna vlakna dužine ne preko 5 mm (flok); Prah i nope, od tekstilnog materijala. |
Proizvodnja od vlakana |
5602 |
Filc, impregnisan ili neimpregnisan, prevučen ili neprevučen, prekriven ili neprekriven, laminiran ili nelaminiran |
Kao što je navedeno za ex tarifne brojeve |
ex 5602 (a) |
štampan, bojen (uključujući bojen u belo) |
Proizvodnja od vlakana |
ex 5602 (b) |
impregnisan, prevučen, prekriven ili laminiran |
Impregnacija, prevlačenje, prekrivanje ili laminiranje filca, nebeljenog |
ex 5602 (v) |
- ostalo |
Proizvodnja od vlakana |
5603 |
Netkani tekstil, impregnisan ili neimpregnisan, prevučen ili neprevučen, prekriven ili neprekriven, laminiran ili nelaminiran |
Kao što je navedeno za ex tarifne brojeve |
ex 5603 (a) |
- netkani tekstil: štampan, bojen (uključujući bojen u belo) |
Proizvodnja od vlakana |
ex 5603 (b) |
impregnisan, prevučen, prekriven ili laminiran |
Impregnacija, prevlačenje, prekrivanje ili laminiranje netkanog tekstila, nebeljenog |
ex 5603 (v) |
- ostalo |
Proizvodnja od vlakana |
5604 |
Niti i kord od kaučuka, prekriveni tekstilnim materijalom; Tekstilno predivo, trake i slično iz tarifnog broja 5404 ili 5405, impregnisani, prevučeni, obloženi kaučukom ili gumom ili plastičnom masom |
Kao što je navedeno za ex tarifne brojeve |
ex 5604 (a) |
- niti i kord od kaučuka, prekriveni tekstilnim materijalom |
Proizvodnja od niti i korda od kaučuka, neprekrivenih tekstilnim materijalom |
ex 5604 (b) |
- ostalo |
Impregnacija, prevlačenje, prekrivanje ili oblaganje tekstilnog prediva, traka i slično, nebeljenih |
5605 |
Metalizovano predivo, obavijeno ili neobavijeno, koje predstavlja tekstilno predivo, traku ili slično iz tarifnog broja 5404 ili 5405, kombinovano sa metalom u obliku niti, traka ili praha ili prekriveno metalom |
CTH |
5606 |
Obavijeno predivo, trake i slično iz tarifnog broja 5404 ili 5405 (osim onih iz tarifnog broja 5605 i obavijenog prediva od konjske dlake); Žanila predivo (uključujući flokovano žanila predivo); Efektno zamkasto predivo |
CTH |
5607 |
Kanapi, užad, konopci i kablovi, upleteni ili neupleteni, isprepleteni ili neisprepleteni i impregnisani ili neimpregnisani prevučeni ili neprevučeni, prekriveni ili neprekriveni, obloženi ili neobloženi sa kaučukom ili plastičnim masama |
Proizvodnja od vlakana, prediva od kokosovih vlakana, sintetičkih ili veštačkih vlakana ili monofilamenata |
5608 |
Čvorovani mrežasti proizvodi od kanapa, užadi ili konopaca; Gotove ribarske mreže i ostale gotove mreže od tekstilnog materijala |
CTH |
5609 |
Proizvodi od prediva, traka ili slično iz iz tarifnog broja 5404 ili 5405, kanapa, užadi, konopaca ili kablova, nepomenuti niti obuhvaćeni na drugom mestu |
Proizvodnja od vlakana, prediva od kokosovih vlakana, sintetičkih ili veštačkih vlakana ili monofilamenata |
TEPISI I OSTALI TEKSTILNI PODNI POKRIVAČI
Preostalo pravilo uz ovu glavu:
Ako se zemlja porekla ne može utvrditi primenom osnovnih pravila, zemlja porekla robe je zemlja iz koje potiče najveći deo materijala, utvrđen na osnovu vrednosti materijala.
Tarifni broj HS 2022 |
Opis robe |
Osnovna pravila |
5701 |
Tepisi i ostali tekstilni podni pokrivači, čvorovani, bilo da jesu ili nisu gotovi |
CTH |
5702 |
Tepisi i ostali tekstilni podni pokrivači, tkani, netaftovani niti flokovani, bilo da jesu ili nisu gotovi, uključujući "Kelim", "Šumak", "Karamani" i slične ručno tkane prostirke |
CTH |
5703 |
Tepisi i ostali tekstilni podni pokrivači, taftovani, bilo da jesu ili nisu gotovi |
CTH |
5704 |
Tepisi i ostali tekstilni podni pokrivači od filca, netaftovani niti flokovani, bilo da jesu ili nisu gotovi |
Proizvodnja od vlakana |
5705 |
Ostali tepisi i ostali tekstilni podni pokrivači, bilo da jesu ili nisu gotovi |
CTH |
SPECIJALNE TKANINE; TAFTOVANI TEKSTILNI PROIZVODI; ČIPKE; TAPISERIJE; POZAMANTERIJA; VEZ
Preostalo pravilo uz ovu glavu:
Ako se zemlja porekla ne može utvrditi primenom osnovnih pravila, zemlja porekla robe je zemlja iz koje potiče najveći deo materijala, utvrđen na osnovu vrednosti materijala.
Tarifni broj HS 2022 |
Opis robe |
Osnovna pravila |
5801 |
Tkani materijali sa florom i materijali od žanila prediva, osim tkanina iz tarifnog broja 5802 ili 5806 |
Kao što je navedeno za ex tarifne brojeve |
ex 5801 (a) |
- tkanine: štampane, bojene (uključujući bojene u belo) |
Proizvodnja od prediva |
ex 5801 (b) |
- impregnisane, prevučene ili prekrivene |
Proizvodnja od nebeljenih tkanina, filca ili netkanog tekstila |
ex 5801 (v) |
- ostalo |
Proizvodnja od prediva |
5802 |
Frotir i slični tkani zamkasti materijali, osim uzanih materijala iz tarifnog broja 5806; Taftovani tekstilni materijali, osim proizvoda iz tarifnog broja 5703 |
Kao što je navedeno za ex tarifne brojeve |
ex 5802 (a) |
- tkanine: štampane, bojene (uključujući bojene u belo) |
Proizvodnja od prediva |
ex 5802 (b) |
- impregnisane, prevučene ili prekrivene |
Proizvodnja od nebeljenih tkanina, filca ili netkanog tekstila |
ex 5802 (v) |
- ostalo |
Proizvodnja od prediva |
5803 |
Gaza, osim uzanih materijala iz tarifnog broja 5806 |
Kao što je navedeno za ex tarifne brojeve |
ex 5803 (a) |
- štampana, bojena (uključujući bojena u belo) |
Proizvodnja od prediva |
ex 5803 (b) |
- impregnisana, prevučena ili prekrivena |
Proizvodnja od nebeljenih tkanina, filca ili netkanog tekstila |
ex 5803 (v) |
- ostalo |
Proizvodnja od prediva |
5804 |
Til i ostali mrežasti materijali, osim tkanih, pletenih ili kukičanih; Čipka u metraži, u trakama ili u motivima, osim materijala iz tar. br. 6002 do 6006 |
Kao što je navedeno za ex tarifne brojeve |
ex 5804 (a) |
- štampani, bojeni (uključujući bojene u belo) |
Proizvodnja od prediva |
ex 5804 (b) |
- impregnisani, prevučeni ili prekriveni |
Proizvodnja od nebeljenih tkanina, filca ili netkanog tekstila |
ex 5804 (v) |
- ostalo |
Proizvodnja od prediva |
5805 |
Tapiserije ručno tkane (vrsta: goblena, flandrija, obison, bove i slične) i tapiserije iglom rađene (npr. sitnim bodom, unakrsnim bodom), bilo da jesu ili nisu gotove |
Kao što je navedeno za ex tarifne brojeve |
ex 5805 (a) |
- štampane ili bojene |
Proizvodnja od prediva |
ex 5805 (b) |
- impregnisane, prevučene ili prekrivene |
Proizvodnja od nebeljenih tkanina, filca ili netkanog tekstila |
ex 5805 (v) |
- ostalo |
Proizvodnja od prediva |
5806 |
Uzani tkani materijali, osim proizvoda iz tarifnog broja 5807; Uzani materijali koji se sastoje samo od osnove čije su niti međusobno zalepljene (bolduk) |
Kao što je navedeno za ex tarifne brojeve |
ex 5806 (a) |
- štampani, bojeni (uključujući bojene u belo) |
Proizvodnja od prediva |
ex 5806 (b) |
- impregnisani, prevučeni ili prekriveni |
Proizvodnja od nebeljenih tkanina, filca ili netkanog tekstila |
ex 5806 (v) |
- ostalo |
Proizvodnja od prediva |
5807 |
Etikete, značke i slični proizvodi od tekstilnih materijala, u metraži, trakama ili sečeni u određene oblike ili veličine, nevezeni |
Kao što je navedeno za ex tarifne brojeve |
ex 5807 (a) |
- štampani, bojeni (uključujući bojene u belo) |
Proizvodnja od prediva |
ex 5807 (b) |
- impregnisani, prevučeni ili prekriveni |
Proizvodnja od nebeljenih tkanina, filca ili netkanog tekstila |
ex 5807 (v) |
- ostalo |
Proizvodnja od prediva |
5808 |
Pletenice u metraži; Ukrasna pozamanterija u metraži, nevezena, osim pletene ili kukičane; Kićanke, pomponi i slični proizvodi. |
Kao što je navedeno za ex tarifne brojeve |
ex 5808 (a) |
- štampani, bojeni (uključujući bojene u belo) |
Proizvodnja od prediva |
ex 5808 (b) |
- impregnisani, prevučeni ili prekriveni |
Proizvodnja od nebeljenih tkanina, filca ili netkanog tekstila |
ex 5808 (v) |
- ostalo |
Proizvodnja od prediva |
5809 |
Tkani materijali od niti od metala i tkanine od metalizovanog prediva iz tarifnog broja 5605, koje se koriste za izradu odeće, unutrašnje opremanje i slično, nepomenute niti obuhvaćene na drugom mestu |
Kao što je navedeno za ex tarifne brojeve |
ex 5809 (a) |
- štampani, bojeni (uključujući bojene u belo) |
Proizvodnja od prediva |
ex 5809 (b) |
- impregnisani, prevučeni ili prekriveni |
Proizvodnja od nebeljenih tkanina, filca ili netkanog tekstila |
ex 5809 (v) |
- ostalo |
Proizvodnja od prediva |
5810 |
Vez u metraži, u trakama ili motivima |
Proizvodnja u kojoj vrednost svih upotrebljenih materijala nije veća od 50% cene proizvoda franko fabrika |
5811 |
Prošiveni tekstilni proizvodi u metraži koji se sastoje od jednog ili više slojeva tekstilnih materijala, spojenih sa materijalom za punjenje prošivanjem ili na drugi način, osim veza iz tarifnog broja 5810 |
Kao što je navedeno za ex tarifne brojeve |
ex 5811 (a) |
- štampani, bojeni (uključujući bojene u belo) |
Proizvodnja od prediva |
ex 5811 (b) |
- impregnisani, prevučeni ili prekriveni |
Proizvodnja od nebeljenih tkanina, filca ili netkanog tekstila |
ex 5811 (v) |
- ostalo |
Proizvodnja od prediva |
TEKSTILNE TKANINE, IMPREGNISANE, PREVUČENE, PREKRIVENE ILI LAMINIRANE, TEKSTILNI PROIZVODI VRSTA POGODNIH ZA TEHNIČKE SVRHE
Preostalo pravilo uz ovu glavu:
Ako se zemlja porekla ne može utvrditi primenom osnovnih pravila, zemlja porekla robe je zemlja iz koje potiče najveći deo materijala, utvrđen na osnovu vrednosti materijala.
Tarifni broj HS 2022 |
Opis robe |
Osnovna pravila |
5901 |
Tekstilne tkanine prevučene lepkom ili skrobnim materijama, koje se koriste za spoljno povezivanje knjiga ili za slične svrhe; Tkanine za precrtavanje; Kanafas pripremljen za slikanje; Krute tkanine (bugram) i slične krute tekstilne tkanine koje se koriste za izradu šešira |
Proizvodnja od nebeljenih tkanina |
5902 |
Kord materijal za spoljašnje pneumatske gume od prediva od najlona ili drugih poliamida, poliestera ili viskoznog rajona velike jačine |
Proizvodnja od prediva |
5903 |
Tekstilne tkanine impregnisane, prevučene, prekrivene ili laminirane plastičnom masom, osim onih iz tarifnog broja 5902 |
Proizvodnja od nebeljenih tkanina |
5904 |
Linoleum, neisečen ili sečen u oblike; Podni pokrivači koji se sastoje od prevlake ili pokrivke nanete na tekstilnu podlogu, neisečeni ili sečeni u oblike |
Proizvodnja od nebeljenih tkanina, filca ili netkanog tekstila |
5905 |
Zidni tapeti od tekstila |
Proizvodnja od nebeljenih tkanina |
5906 |
Kaučukovane ili gumirane tekstilne tkanine, osim onih iz tarifnog broja 5902 |
Proizvodnja od beljenih tkanina, pletenih ili kukičanih, ili od drugih nebeljenih tkanina |
5907 |
Tekstilne tkanine na drugi način impregnisane, prevučene ili prekrivene; Oslikana platna za pozorišne kulise, tekstilne pozadine za ateljea ili slično |
Proizvodnja od nebeljenih tkanina |
5908 |
Fitilji od tekstila, tkani, upleteni ili pleteni, za lampe, peći, upaljače, sveće ili slično; Čarapice za gasno osvetljenje ili cevasto pleteni materijali za čarapice, impregnisani ili neimpregnisani. |
Proizvodnja od prediva |
5909 |
Tekstilna creva i slični tekstilni cevasti proizvodi, sa ili bez obloga, ojačanja ili pribora od drugog materijala |
Proizvodnja od prediva ili vlakana |
5910 |
Trake ili remenje od tekstilnih materijala, za transportne ili transmisione svrhe, impregnisane ili neimpregnisane, prevučene ili neprevučene, prekrivene ili neprekrivene ili laminirane ili nelaminirane plastičnom masom, ojačane ili neojačane metalom ili drugim materijalom |
Proizvodnja od prediva ili vlakana |
5911 |
Tekstilni proizvodi i predmeti za tehničke svrhe, navedeni u Napomeni 8. uz ovu glavu |
Kao što je navedeno za ex tarifne brojeve |
ex 5911 (a) |
- diskovi i krune za poliranje osim od filca |
Proizvodnja od prediva, ostataka vlakana ili krpa iz tarifnog broja 6310 |
ex 5911 (b) |
- ostalo |
Proizvodnja od prediva ili vlakana |
PLETENI ILI KUKIČANI MATERIJALI
Preostalo pravilo uz ovu glavu:
Ako se zemlja porekla ne može utvrditi primenom osnovnih pravila, zemlja porekla robe je zemlja iz koje potiče najveći deo materijala, utvrđen na osnovu vrednosti materijala.
Tarifni broj HS 2022 |
Opis robe |
Osnovna pravila |
6001 |
Materijali sa florom, uključujući materijale sa visokim florom i zamkaste materijale, pleteni ili kukičani |
Kao što je navedeno za ex tarifne brojeve |
ex 6001 (a) |
- štampani, bojeni (uključujući bojene u belo) |
Proizvodnja od prediva |
ex 6001 (b) |
- ostalo |
Proizvodnja od prediva |
6002 |
Ostali pleteni ili kukičani materijali širine ne preko 30 cm, sa sadržajem 5% ili više po masi elastomernog prediva ili niti od kaučuka, osim onih iz tarifnog broja 6001 |
Kao što je navedeno za ex tarifne brojeve |
ex 6002 (a) |
- štampani, bojeni (uključujući bojene u belo) |
Proizvodnja od prediva |
ex 6002 (b) |
- ostalo |
Proizvodnja od prediva |
6003 |
Pleteni ili kukičani materijali širine ne preko 30 cm, osim onih iz tar. br. 6001 ili 6002 |
Kao što je navedeno za ex tarifne brojeve |
ex 6003 (a) |
štampani, bojeni (uključujući bojene u belo) |
Proizvodnja od prediva |
ex 6003 (b) |
- ostalo |
Proizvodnja od prediva |
6004 |
Pleteni ili kukičani materijali širine veće od 30 cm, sa sadržajem 5% ili više po masi elastomernog prediva ili niti od kaučuka, osim onih iz tarifnog broja 6001 |
Kao što je navedeno za ex tarifne brojeve |
ex 6004 (a) |
štampani, bojeni (uključujući bojene u belo) |
Proizvodnja od prediva |
ex 6004 (b) |
- ostalo |
Proizvodnja od prediva |
6005 |
Materijali pleteni po osnovi (uključujući i one dobijene na "galloon" pletaćim mašinama), osim onih iz tar. br. 6001 do 6004 |
Kao što je navedeno za ex tarifne brojeve |
ex 6005 (a) |
štampani, bojeni (uključujući bojene u belo) |
Proizvodnja od prediva |
ex 6005 (b) |
- ostalo |
Proizvodnja od prediva |
6006 |
Ostali pleteni ili kukičani materijali |
Kao što je navedeno za ex tarifne brojeve |
ex 6006 (a) |
štampani, bojeni (uključujući bojene u belo) |
Proizvodnja od prediva |
ex 6006 (b) |
- ostalo |
Proizvodnja od prediva |
ODEĆA I PRIBOR ZA ODEĆU, PLETENI ILI KUKIČANI
Preostalo pravilo uz ovu glavu:
Ako se zemlja porekla ne može utvrditi primenom osnovnih pravila, zemlja porekla robe je zemlja iz koje potiče najveći deo materijala, utvrđen na osnovu vrednosti materijala.
Tarifni broj HS 2022 |
Opis robe |
Osnovna pravila |
6101 |
Kaputi, ogrtači, pelerine, vetrovke sa kapuljačom tipa anorak (uključujući skijaške jakne), vetrovke sa ili bez postave ili uloška i slični proizvodi za muškarce i dečake, pleteni ili kukičani, osim proizvoda iz tarifnog broja 6103 |
Kao što je navedeno za ex tarifne brojeve |
ex 6101 (a) |
- dobijeni šivenjem ili na drugi način sastavljanjem dva ili više komada pletenog ili kukičanog materijala, koji su iskrojeni u potrebne oblike ili proizvedeni već oblikovani |
Potpuno dovršavanje |
ex 6101 (b) |
- ostalo |
Proizvodnja od prediva |
6102 |
Kaputi, ogrtači, pelerine, vetrovke sa kapuljačom tipa anorak (uključujući skijaške jakne), vetrovke sa ili bez postave ili uloška i slični proizvodi za žene i devojčice, pleteni ili kukičani, osim proizvoda iz tarifnog broja 6104 |
Kao što je navedeno za ex tarifne brojeve |
ex 6102 (a) |
- dobijeni šivenjem ili na drugi način sastavljanjem dva ili više komada pletenog ili kukičanog materijala, koji su iskrojeni u potrebne oblike ili proizvedeni već oblikovani |
Potpuno dovršavanje |
ex 6102 (b) |
- ostalo |
Proizvodnja od prediva |
6103 |
Odela, kompleti, jakne, sakoi, pantalone, pantalone sa plastronom i naramenicama, bridž-pantalone i šorcevi (osim kupaćih gaća), za muškarce i dečake, pleteni ili kukičani |
Kao što je navedeno za ex tarifne brojeve |
ex 6103 (a) |
- dobijeni šivenjem ili na drugi način sastavljanjem dva ili više komada pletenog ili kukičanog materijala, koji su iskrojeni u potrebne oblike ili proizvedeni već oblikovani |
Potpuno dovršavanje |
ex 6103 (b) |
- ostalo |
Proizvodnja od prediva |
6104 |
Kostimi, kompleti, jakne, sakoi, haljine, suknje, suknje-pantalone, pantalone, pantalone sa plastronom i naramenicama, bridž-pantalone i šorcevi (osim kupaćih gaćica i kostima), za žene i devojčice, pleteni ili kukičani |
Kao što je navedeno za ex tarifne brojeve |
ex 6104 (a) |
- dobijeni šivenjem ili na drugi način sastavljanjem dva ili više komada pletenog ili kukičanog materijala, koji su iskrojeni u potrebne oblike ili proizvedeni već oblikovani |
Potpuno dovršavanje |
ex 6104 (b) |
- ostalo |
Proizvodnja od prediva |
6105 |
Košulje za muškarce i dečake, pletene ili kukičane |
Kao što je navedeno za ex tarifne brojeve |
ex 6105 (a) |
- dobijeni šivenjem ili na drugi način sastavljanjem dva ili više komada pletenog ili kukičanog materijala, koji su iskrojeni u potrebne oblike ili proizvedeni već oblikovani |
Potpuno dovršavanje |
ex 6105 (b) |
- ostalo |
Proizvodnja od prediva |
6106 |
Bluze, košulje i košulje - bluze, za žene i devojčice, pletene ili kukičane |
Kao što je navedeno za ex tarifne brojeve |
ex 6106 (a) |
- dobijeni šivenjem ili na drugi način sastavljanjem dva ili više komada pletenog ili kukičanog materijala, koji su iskrojeni u potrebne oblike ili proizvedeni već oblikovani |
Potpuno dovršavanje |
ex 6106 (b) |
- ostalo |
Proizvodnja od prediva |
6107 |
Gaće, noćne košulje, pidžame, bade mantili, kućni ogrtači i slični proizvodi za muškarce i dečake, pleteni ili kukičani |
Kao što je navedeno za ex tarifne brojeve |
ex 6107 (a) |
- dobijeni šivenjem ili na drugi način sastavljanjem dva ili više komada pletenog ili kukičanog materijala, koji su iskrojeni u potrebne oblike ili proizvedeni već oblikovani |
Potpuno dovršavanje |
ex 6107 (b) |
- ostalo |
Proizvodnja od prediva |
6108 |
Kombinezoni, podsuknje, gaćice, spavaćice, pidžame, jutarnje haljine, bademantili, kućne haljine i slični proizvodi za žene ili devojčice, pleteni ili kukičani |
Kao što je navedeno za ex tarifne brojeve |
ex 6108 (a) |
- dobijeni šivenjem ili na drugi način sastavljanjem dva ili više komada pletenog ili kukičanog materijala, koji su iskrojeni u potrebne oblike ili proizvedeni već oblikovani |
Potpuno dovršavanje |
ex 6108 (b) |
- ostalo |
Proizvodnja od prediva |
6109 |
Majice sa kratkim rukavima, majice bez rukava i potkošulje, pletene ili kukičane |
Kao što je navedeno za ex tarifne brojeve |
ex 6109 (a) |
- dobijene šivenjem ili na drugi način sastavljanjem dva ili više komada pletenog ili kukičanog materijala, koji su iskrojeni u potrebne oblike ili proizvedeni već oblikovani |
Potpuno dovršavanje |
ex 6109 (b) |
- ostalo |
Proizvodnja od prediva |
6110 |
Džemperi sa ili bez zakopčavanja, puloveri, prsluci i slični proizvodi, pleteni ili kukičani |
Kao što je navedeno za ex tarifne brojeve |
ex 6110 (a) |
- dobijeni šivenjem ili na drugi način sastavljanjem dva ili više komada pletenog ili kukičanog materijala, koji su iskrojeni u potrebne oblike ili proizvedeni već oblikovani |
Potpuno dovršavanje |
ex 6110 (b) |
- ostalo |
Proizvodnja od prediva |
6111 |
Odeća i pribor za odeću, za bebe, pleteni ili kukičani |
Kao što je navedeno za ex tarifne brojeve |
ex 6111 (a) |
- dobijeni šivenjem ili na drugi način sastavljanjem dva ili više komada pletenog ili kukičanog materijala, koji su iskrojeni u potrebne oblike ili proizvedeni već oblikovani |
Potpuno dovršavanje |
ex 6111 (b) |
- ostalo |
Proizvodnja od prediva |
6112 |
Trenerke, skijaška odela i kupaće gaće ili kostimi, pleteni ili kukičani |
Kao što je navedeno za ex tarifne brojeve |
ex 6112 (a) |
- dobijeni šivenjem ili na drugi način sastavljanjem dva ili više komada pletenog ili kukičanog materijala, koji su iskrojeni u potrebne oblike ili proizvedeni već oblikovani |
Potpuno dovršavanje |
ex 6112 (b) |
- ostalo |
Proizvodnja od prediva |
6113 |
Odeća izrađena od pletenih ili kukičanih materijala iz tarifnog broja 5903, 5906 ili 5907 |
Kao što je navedeno za ex tarifne brojeve |
ex 6113 (a) |
- dobijeni šivenjem ili na drugi način sastavljanjem dva ili više komada pletenog ili kukičanog materijala, koji su iskrojeni u potrebne oblike ili proizvedeni već oblikovani |
Potpuno dovršavanje |
ex 6113 (b) |
- ostalo |
Proizvodnja od prediva |
6114 |
Ostala odeća, pletena ili kukičana |
Kao što je navedeno za ex tarifne brojeve |
ex 6114 (a) |
- dobijeni šivenjem ili na drugi način sastavljanjem dva ili više komada pletenog ili kukičanog materijala, koji su iskrojeni u potrebne oblike ili proizvedeni već oblikovani |
Potpuno dovršavanje |
ex 6114 (b) |
- ostalo |
Proizvodnja od prediva |
6115 |
Čarape hulahopke sa petom ili bez pete, samodržeće čarape, čarape i ostale nazuvice, uključujući čarape koje imaju funkciju stezanja u različitom stepenu (na primer, čarape za vene) i nazuvice bez tabanice, pletene ili kukičane |
Kao što je navedeno za ex tarifne brojeve |
ex 6115 (a) |
- dobijeni šivenjem ili na drugi način sastavljanjem dva ili više komada pletenog ili kukičanog materijala, koji su iskrojeni u potrebne oblike ili proizvedeni već oblikovani |
Potpuno dovršavanje |
ex 6115 (b) |
- ostalo |
Proizvodnja od prediva |
6116 |
Rukavice s prstima, s jednim prstom ili bez prstiju, pletene ili kukičane |
Kao što je navedeno za ex tarifne brojeve |
ex 6116 (a) |
- dobijene šivenjem ili na drugi način sastavljanjem dva ili više komada pletenog ili kukičanog materijala, koji su iskrojeni u potrebne oblike ili bili proizvedeni već oblikovani |
Potpuno dovršavanje |
ex 6116 (b) |
- ostalo |
Proizvodnja od prediva |
6117 |
Ostali gotov pribor za odeću, pleten ili kukičan; Pleteni ili kukičani delovi odeće ili pribora za odeću. |
Kao što je navedeno za ex tarifne brojeve |
ex 6117 (a) |
- dobijeni šivenjem ili na drugi način sastavljanjem dva ili više komada pletenog ili kukičanog materijala, koji su bili iskrojeni u potrebne oblike ili bili proizvedeni već oblikovani |
Potpuno dovršavanje |
ex 6117 (b) |
- ostalo |
Proizvodnja od prediva |
ODEĆA I PRIBOR ZA ODEĆU, OSIM PLETENIH I KUKIČANIH
Preostalo pravilo uz ovu glavu:
Ako se zemlja porekla ne može utvrditi primenom osnovnih pravila, zemlja porekla robe je zemlja iz koje potiče najveći deo materijala, utvrđen na osnovu vrednosti materijala.
Tarifni broj HS 2022 |
Opis robe |
Osnovna pravila |
6201 |
Kaputi, ogrtači, pelerine, vetrovke sa kapuljačom tipa "anorak" (uključujući skijaške jakne), vetrovke nepostavljene, vetrovke postavljene i slični proizvodi za muškarce i dečake, osim proizvoda iz tarifnog broja 6203 |
Kao što je navedeno za ex tarifne brojeve |
ex 6201 (a) |
- dovršeni ili kompletni |
Potpuno dovršavanje |
ex 6201 (b) |
- nedovršeni ili nekompletni |
Proizvodnja od prediva |
6202 |
Kaputi, ogrtači, pelerine, vetrovke sa kapuljačom tipa "anorak" (uključujući skijaške jakne), vetrovke nepostavljene, vetrovke postavljene i slični proizvodi za žene i devojčice, osim proizvoda iz tarifnog broja 6204 |
Kao što je navedeno za ex tarifne brojeve |
ex 6202 (a) |
- dovršeni ili kompletni |
Potpuno dovršavanje |
ex 6202 (b) |
- nedovršeni ili nekompletni |
Proizvodnja od prediva |
6203 |
Odela, kompleti, jakne, sakoi, pantalone, pantalone sa plastronom i naramenicama, bridž-pantalone i šorcevi (osim kupaćih gaća), za muškarce i dečake |
Kao što je navedeno za ex tarifne brojeve |
ex 6203 (a) |
- dovršeni ili kompletni |
Potpuno dovršavanje |
ex 6203 (b) |
- nedovršeni ili nekompletni |
Proizvodnja od prediva |
6204 |
Kostimi, kompleti, jakne, sakoi, haljine, suknje, suknje-pantalone, pantalone, pantalone sa plastronom i naramenicama, šorcevi (osim kupaćih gaćica i kostima), za žene i devojčice |
Kao što je navedeno za ex tarifne brojeve |
ex 6204 (a) |
- dovršeni ili kompletni |
Potpuno dovršavanje |
ex 6204 (b) |
- nedovršeni ili nekompletni |
Proizvodnja od prediva |
6205 |
Košulje, za muškarce i dečake |
Kao što je navedeno za ex tarifne brojeve |
ex 6205 (a) |
- dovršeni ili kompletni |
Potpuno dovršavanje |
ex 6205 (b) |
- nedovršeni ili nekompletni |
Proizvodnja od prediva |
6206 |
Bluze, košulje i košulje - bluze, za žene i devojčice. |
Kao što je navedeno za ex tarifne brojeve |
ex 6206 (a) |
- dovršene ili kompletne |
Potpuno dovršavanje |
ex 6206 (b) |
- nedovršene ili nekompletne |
Proizvodnja od prediva |
6207 |
Potkošulje i ostale majice bez rukava, podgaće, gaće, noćne košulje, pidžame, bade mantili, kućni ogrtači i slični proizvodi, za muškarce i dečake |
Kao što je navedeno za ex tarifne brojeve |
ex 6207 (a) |
- dovršeni ili kompletni |
Potpuno dovršavanje |
ex 6207 (b) |
- nedovršeni ili nekompletni |
Proizvodnja od prediva |
6208 |
Potkošulje i ostale majice bez rukava, kombinezoni, podsuknje, kilote, gaćice, spavaćice, pidžame, jutarnje haljine, bade mantili, kućne haljine i slični proizvodi, za žene ili devojčice |
Kao što je navedeno za ex tarifne brojeve |
ex 6208 (a) |
- dovršene ili kompletne |
Potpuno dovršavanje |
ex 6208 (b) |
- nedovršene ili nekompletne |
Proizvodnja od prediva |
6209 |
Odeća i pribor za odeću, za bebe |
Kao što je navedeno za ex tarifne broje |
ex 6209 (a) |
- dovršeni ili kompletni |
Potpuno dovršavanje |
ex 6209 (b) |
- nedovršeni ili nekompletni |
Proizvodnja od prediva |
6210 |
Odeća izrađena od materijala iz tar. br. 5602, 5603, 5903, 5906 ili 5907 |
Kao što je navedeno za ex tarifne broje |
ex 6210 (a) |
- dovršena ili kompletna |
Potpuno dovršavanje |
ex 6210 (b) |
- nedovršena ili nekompletna |
Proizvodnja od prediva |
6211 |
Trenerke, skijaška odela i kupaće gaće ili kostimi; Ostala odeća |
Kao što je navedeno za ex tarifne broje |
ex 6211 (a) |
- dovršeni ili kompletni |
Potpuno dovršavanje |
ex 6211 (b) |
- nedovršeni ili nekompletni |
Proizvodnja od prediva |
6212 |
Grudnjaci, mideri, korseti (ženski steznici), naramenice, držači čarapa (podvezice) i slični proizvodi kao i njihovi delovi, uključujući pletene ili kukičane |
Kao što je navedeno za ex tarifne broje |
ex 6212 (a) |
- dovršeni ili kompletni |
Potpuno dovršavanje |
ex 6212 (b) |
- nedovršeni ili nekompletni |
Proizvodnja od prediva |
6213 |
Maramice |
Kao što je navedeno za ex tarifne broje |
ex 6213 (a) |
- vezene |
Proizvodnja od prediva |
ex 6213 (b) |
- ostalo |
Proizvodnja od prediva |
6214 |
Šalovi, ešarpe, marame, šamije, velovi i slični proizvodi |
Kao što je navedeno za ex tarifne brojeve |
ex 6214 (a) |
- vezeni |
Proizvodnja od prediva |
ex 6214 (b) |
- ostalo |
Proizvodnja od prediva |
6215 |
Mašne, leptir-mašne i kravate |
Kao što je navedeno za ex tarifne brojeve |
ex 6215 (a) |
- dovršene ili kompletne |
Potpuno dovršavanje |
ex 6215 (b) |
- nedovršene ili nekompletne |
Proizvodnja od prediva |
6216 |
Rukavice s prstima, s jednim prstom ili bez prstiju |
Kao što je navedeno za ex tarifne brojeve |
ex 6216 (a) |
- dovršene ili kompletne |
Potpuno dovršavanje |
ex 6216 (b) |
- nedovršene ili nekompletne |
Proizvodnja od prediva |
6217 |
Ostali gotov pribor za odeću; Delovi odeće ili pribora za odeću, osim onih iz tarifnog broja 6212 |
Kao što je navedeno za ex tarifne brojeve |
ex 6217 (a) |
- dovršeni ili kompletni |
Potpuno dovršavanje |
ex 6217 (b) |
- nedovršeni ili nekompletni |
Proizvodnja od prediva |
OSTALI GOTOVI PROIZVODI OD TEKSTILA; SETOVI; IZNOŠENA, DOTRAJALA ODEĆA I DOTRAJALI PROIZVODI OD TEKSTILA; KRPE
Preostalo pravilo uz ovu glavu:
Ako se zemlja porekla ne može utvrditi primenom osnovnih pravila, zemlja porekla robe je zemlja iz koje potiče najveći deo materijala, utvrđen na osnovu vrednosti materijala.
Tarifni broj HS 2022 |
Opis robe |
Osnovna pravila |
6301 |
Ćebad i putni pokrivači |
Kao što je navedeno za ex tarifne brojeve |
|
- od filca ili netkanog tekstila |
|
ex 6301 (a) |
- - neimpregnisani, neprevučeni, neprekriveni ili nelaminirani |
Proizvodnja od vlakana |
ex 6301 (b) |
- - impregnisani, prevučeni, prekriveni ili laminirani |
Impregnacija, prevlačenje, prekrivanje ili laminiranje filca ili netkanog tekstila, nebeljenog |
|
- ostalo |
|
|
- - pleteni ili kukičani |
|
ex 6301 (v) |
- - - nevezeni |
Potpuno dovršavanje |
ex 6301 (g) |
- - - vezeni |
Potpuno dovršavanje |
|
- - nepleteni ili nekukičani: |
|
ex 6301 (d) |
- - - nevezeni |
Proizvodnja od prediva |
ex 6301 (đ) |
- - - vezeni |
Proizvodnja od prediva ili |
6302 |
Posteljno, stono, toaletno i kuhinjsko rublje |
Kao što je navedeno za ex tarifne brojeve |
|
- od filca ili netkanog tekstila |
|
ex 6302 (a) |
- - neimpregnisano, neprevučeno, neprekriveno ili nelaminirano |
Proizvodnja od vlakana |
ex 6302 (b) |
- - impregnisano, prevučeno, prekriveno ili laminirano |
Impregnacija, prevlačenje, prekrivanje ili laminiranje filca ili netkanog tekstila, nebeljenog |
|
- ostalo: |
|
|
- - pleteno ili kukičano |
|
ex 6302 (v) |
- - - nevezeno |
Potpuno dovršavanje |
ex 6302 (g) |
- - - vezeno |
Potpuno dovršavanje |
|
- - nepleteno ili nekukičano: |
|
ex 6302 (d) |
- - - nevezeno |
Proizvodnja od prediva |
ex 6302 (đ) |
- - - vezeno |
Proizvodnja od prediva |
6303 |
Zavese (uključujući draperije) i unutrašnje platnene roletne, kratke ukrasne draperije za zavese ili krevete |
Kao što je navedeno za ex tarifne brojeve |
|
- od filca ili netkanog tekstila |
|
ex 6303 (a) |
- - neimpregnisane, neprevučene, neprekrivene ili nelaminirane |
Proizvodnja od vlakana |
ex 6303 (b) |
- - impregnisane, prevučene, prekrivene ili laminirane |
Impregnacija, prevlačenje, prekrivanje ili laminiranje filca ili netkanog tekstila, nebeljenog |
|
- ostalo: |
|
|
- - pletene ili kukičane |
|
ex 6303 (v) |
- - - nevezene |
Potpuno dovršavanje |
ex 6303 (g) |
- - - vezene |
Potpuno dovršavanje |
|
- - nepletene ili nekukičane: |
|
ex 6303 (d) |
- - - nevezene |
Proizvodnja od prediva |
ex 6303 (đ) |
- - - vezene |
Proizvodnja od prediva |
6304 |
Ostali proizvodi za unutrašnje opremanje, isključujući proizvode iz tarifnog broja 9404 |
Kao što je navedeno za ex tarifne brojeve |
|
- od filca ili netkanog tekstila: |
|
ex 6304 (a) |
- - neimpregnisani, neprevučeni, neprekriveni ili nelaminirani |
Proizvodnja od vlakana |
ex 6304 (b) |
- - impregnisani, prevučeni, prekriveni ili laminirani |
Impregnacija, prevlačenje, prekrivanje ili laminiranje filca ili netkanog tekstila, nebeljenog |
|
- ostalo: |
|
|
- - pleteni ili kukičani |
|
ex 6304 (v) |
- - - nevezeni |
Potpuno dovršavanje |
ex 6304 (g) |
- - - vezeni |
Potpuno dovršavanje |
|
- - nepleteni ili nekukičani: |
|
ex 6304 (d) |
- - - nevezeni |
Proizvodnja od prediva |
ex 6304 (đ) |
- - - vezeni |
Proizvodnja od prediva |
6305 |
Vreće i vrećice za pakovanje robe. |
Kao što je navedeno za ex tarifne brojeve |
|
- od filca ili netkanog tekstila: |
|
ex 6305 (a) |
- - neimpregnisane, neprevučene, neprekrivene ili nelaminirane |
Proizvodnja od vlakana |
ex 6305 (b) |
- - impregnisane, prevučene, prekrivene ili laminirane |
Impregnacija, prevlačenje, prekrivanje ili laminiranje filca ili netkanog tekstila, nebeljenog |
|
- ostalo: |
|
|
- - pletene ili kukičane |
|
|
||
|
||
ex 6305 (v) |
- - - nevezene |
Potpuno dovršavanje |
ex 6305 (g) |
- - - vezene |
Potpuno dovršavanje |
|
- - nepletene ili nekukičane: |
|
ex 6305 (d) |
- - - nevezene |
Proizvodnja od prediva |
ex 6305 (đ) |
- - - vezene |
Proizvodnja od prediva |
6306 |
Cerade, tende i roletne za sunce; Šatori (uključujući privremene nadstrešnice i slične proizvode); Jedra za čamce i brodove, daske za jedrenje ili kopnene jedrilice; Proizvodi za kampovanje |
Kao što je navedeno za ex tarifne brojeve |
|
- Cerade, nadstrešnice i proizvodi za kampovanje, od filca ili netkanog tekstila: |
|
ex 6306 (a) |
- - neimpregnisane, neprevučene, neprekrivene ili nelaminirane |
Proizvodnja od vlakana |
ex 6306 (b) |
- - impregnisane, prevučene, prekrivene ili laminirane |
Impregnacija, prevlačenje, prekrivanje ili laminiranje filca ili netkanog tekstila, nebeljenog |
|
- Ostale cerade, nadstrešnice i proizvodi za kampovanje |
|
|
- - pleteni ili kukičani |
|
ex 6306 (v) |
- - - nevezeni |
Potpuno dovršavanje |
ex 6306 (g) |
- - - vezeni |
Potpuno dovršavanje |
|
- - nepleteni ili nekukičani: |
|
ex 6306 (d) |
- - - nevezeni |
Proizvodnja od prediva |
ex 6306 (đ) |
- - - vezeni |
Proizvodnja od prediva |
ex 6306 (e) |
tende; šatori; jedra za čamce, daske za jedrenje ili suvozemna vozila; |
CTH |
6307 |
Ostali gotovi proizvodi, uključujući modne krojeve za odeću |
Kao što je navedeno za tarifne podbrojeve |
6307 10 |
- Krpe za pod, sudove, prašinu i slične krpe za čišćenje |
Proizvodnja od prediva |
6307 20 |
- Prsluci i pojasevi za spasavanje |
Proizvodnja kod koje vrednost svih upotrebljenih materijala nije veća od 40% cene proizvoda franko fabrika |
6307 90 |
- Ostalo |
Proizvodnja kod koje vrednost svih upotrebljenih materijala nije veća od 40% cene proizvoda franko fabrika |
6308 |
Setovi koji se sastoje od komada tkanine i prediva s priborom ili bez pribora, za izradu prostirki, tapiserija, vezenih stolnjaka ili salveta ili sličnih proizvoda od tekstila, pripremljeni u pakovanjima za prodaju na malo |
Uključivanje u set ako ukupna vrednost svih proizvoda bez porekla ne prelazi 25% cene seta franko fabrika |
6309 |
Iznošena - dotrajala odeća i drugi dotrajali proizvodi od tekstila |
Prikupljanje i pakovanje za isporuku |
6310 |
Upotrebljavne ili nove krpe, otpaci užadi, kanapa, konopaca i kablova i dotrajali proizvodi od užadi, kanapa, konopaca ili kablova, od tekstilnog materijala. |
CTH |
OBUĆA, ŠEŠIRI, KAPE I OSTALE POKRIVKE ZA GLAVU, KIŠOBRANI, SUNCOBRANI, ŠTAPOVI, BIČEVI, KORBAČI I NJIHOVI DELOVI; PREPARIRANO PERJE I PROIZVODI OD PERJA; VEŠTAČKO CVEĆE; PROIZVODI OD LJUDSKE KOSE
OBUĆA, KAMAŠNE I SLIČNI PROIZVODI; DELOVI TIH PROIZVODA
Preostalo pravilo uz ovu glavu:
Ako se zemlja porekla ne može utvrditi primenom osnovnih pravila, zemlja porekla robe je zemlja iz koje potiče najveći deo materijala, utvrđen na osnovu vrednosti materijala.
Tarifni broj HS 2022 |
Opis robe |
Osnovna pravila |
6401 |
Nepromočiva obuća sa spoljašnjim đonovima i licem (gornjištem), od kaučuka ili plastične mase, čije lice nije pričvršćeno za đon niti spojeno s njim ušivanjem, zakivanjem zakivcima ili ekserima, pomoću vijaka, čepova ili sličnim postupcima |
CTH, osim kod sastavljanja gornjih delova obuće (gornjišta) pričvršćenih na unutrašnje đonove ili na druge delove đonova iz tarifnog broja 6406 |
6402 |
Ostala obuća sa spoljašnjim đonovima i licem (gornjištem), od kaučuka ili plastične mase |
CTH, osim kod sastavljanja gornjih delova obuće (gornjišta) pričvršćenih na unutrašnje đonove ili na druge delove đonova iz tarifnog broja 6406 |
6403 |
Obuća sa spoljašnjim đonovima od kaučuka ili plastične mase, kože ili veštačke kože i licem (gornjištem) od kože |
CTH, osim kod sastavljanja gornjih delova obuće (gornjišta) pričvršćenih na unutrašnje đonove ili na druge delove đonova iz tarifnog broja 6406 |
6404 |
Obuća sa spoljašnjim đonovima od kaučuka ili plastične mase, kože ili veštačke kože i licem (gornjištem) od tekstilnih materijala |
CTH, osim kod sastavljanja gornjih delova obuće (gornjišta) pričvršćenih na unutrašnje đonove ili na druge delove đonova iz tarifnog broja 6406 |
6405 |
Ostala obuća |
CTH, osim kod sastavljanja gornjih delova obuće (gornjišta) pričvršćenih na unutrašnje đonove ili na druge delove đonova iz tarifnog broja 6406 |
PROIZVODI OD KAMENA, GIPSA, CEMENTA, AZBESTA, LISKUNA ILI SLIČNIH MATERIJALA; KERAMIČKI PROIZVODI; STAKLO I PROIZVODI OD STAKLA
KERAMIČKI PROIZVODI
Preostalo pravilo uz ovu glavu:
Ako se zemlja porekla ne može utvrditi primenom osnovnih pravila, zemlja porekla robe je zemlja iz koje potiče najveći deo materijala, utvrđen na osnovu vrednosti materijala.
Tarifni broj HS 2022 |
Opis robe |
Osnovna pravila |
ex 6911 do ex 6913 |
Keramičko stono posuđe, kuhinjsko posuđe, ostali predmeti za domaćinstvo ili toaletnu upotrebu; statuete i ostali ukrasni proizvodi i proizvodi za toaletnu upotrebu od keramike, dekorisani |
CTH |
PRIRODNI ILI KULTIVISANI BISERI, DRAGO ILI POLUDRAGO KAMENJE, PLEMENITI METALI, METALI PLATIRANI PLEMENITIM METALIMA I PROIZVODI OD NJIH; IMITACIJE NAKITA; METALNI NOVAC
PRIRODNI ILI KULTIVISANI BISERI, DRAGO ILI POLUDRAGO KAMENJE, PLEMENITI METALI, METALI PLATIRANI PLEMENITIM METALIMA I PROIZVODI OD NJIH; IMITACIJE NAKITA; METALNI NOVAC
Preostalo pravilo uz ovu glavu:
Ako se zemlja porekla ne može utvrditi primenom osnovnih pravila, zemlja porekla robe je zemlja iz koje potiče najveći deo materijala, utvrđen na osnovu vrednosti materijala.
Tarifni broj HS 2022 |
Opis robe |
Osnovna pravila |
ex 7117 |
Keramičke imitacije nakita, dekorisane |
CTH |
PROSTI METALI I PROIZVODI OD PROSTIH METALA
GVOŽĐE I ČELIK
Definicija
Za svrhe ove glave, izrazi "hladno valjani (hladno redukovani)" i "hladno oblikovani" označavaju hladno redukovanje koje ima za rezultat promenu kristalne strukture predmeta koji se obrađuje. Ovi izrazi ne uključuju lagani proces hladnog valjanja i hladnog oblikovanja (skin pass ili pinch pass) koji deluje samo po površini materijala i nema za rezultat promenu kristalne strukture.
Napomena uz ovu glavu
Za potrebe ove glave, promene u svrstavanju robe koje su rezultat isključivo sečenja neće se smatrati dovoljnim za sticanje statusa robe sa poreklom.
Preostalo pravilo uz ovu glavu:
Ako se zemlja porekla ne može utvrditi primenom osnovnih pravila, zemlja porekla robe je zemlja iz koje potiče najveći deo materijala, utvrđen na osnovu vrednosti materijala.
Tarifni broj HS 2022 |
Opis robe |
Osnovna pravila |
7201 |
Sirovo gvožđe i manganovo (ogledalasto) gvožđe u blokovima ili drugim primarnim oblicima |
CTH |
7202 |
Ferolegure |
CTH |
7203 |
Proizvodi koji sadrže gvožđe dobijeni direktnom redukcijom rude gvožđa i ostali sunđerasti proizvodi koji sadrže gvožđe, u komadima, peletima ili sličnim oblicima; Gvožđe minimalne čistoće 99,94% po masi, u komadima, peletima ili sličnim oblicima |
CTH |
7204 |
Otpaci i ostaci od metala koji sadrže gvožđe; Otpadni ingoti za pretapanje, od gvožđa ili čelika |
Kao što je navedeno za ex tarifne brojeve |
ex 7204 (a) |
- otpaci i ostaci od gvožđa ili čelika |
Zemlja porekla robe iz ovog ex tarifnog broja je zemlja u kojoj su otpaci i ostaci nastali u proizvodnji ili procesu prerade ili iz potrošnje |
ex 7204 (b) |
- otpadni ingoti za pretapanje, od gvožđa ili čelika |
Zemlja porekla robe iz ovog ex tarifnog broja je zemlja u kojoj su otpaci i ostaci nastali u proizvodnji ili procesu prerade ili iz potrošnje |
7205 |
Granule i prah, od sirovog gvožđa, manganovog ogledalastog gvožđa, gvožđa ili čelika |
Kao što je navedeno za tarifne podbrojeve |
7205 10 |
- Granule |
CTH |
|
- Prah: |
|
7205 21 |
- - Od legiranog čelika |
Kao što je navedeno za ex tarifne podbrojeve |
ex 7205 21 (a) |
- - - mešavine praha od legiranog čelika |
CTSH ili CTSHS pod uslovom da je izvršeno pretapanje i atomizovanje odlivka legure |
ex 7205 21 (b) |
- - - nemešani prah od legiranog čelika |
CTSH |
7205 29 |
- - Ostali |
Kao što je navedeno za ex tarifne podbrojeve |
ex 7205 29 (a) |
- - - ostale mešavine praha |
CTSH ili CTSHS pod uslovom da je izvršeno pretapanje i atomizovanje odlivka legure |
ex 7205 29 (b) |
- - - ostali nemešani prah |
CTSH |
7206 |
Gvožđe i nelegirani čelik, u ingotima ili drugim primarnim oblicima (ne uključujući gvožđe iz tarifnog broja 7203) |
CTH |
7207 |
Poluproizvodi od gvožđa ili nelegiranog čelika |
CTH, osim iz tarifnog broja 7206 |
7208 |
Pljosnati valjani proizvodi od gvožđa ili nelegiranog čelika, širine 600 mm ili veće, toplo valjani, neplatirani niti prevučeni |
CTH |
7209 |
Pljosnati valjani proizvodi od gvožđa ili nelegiranog čelika, širine 600 mm ili veće, hladno valjani (hladno redukovani), neplatirani niti prevučeni |
CTH |
7210 |
Pljosnati valjani proizvodi od gvožđa ili nelegiranog čelika, širine 600 mm ili veće, platirani ili prevučeni |
Kao što je navedeno za ex tarifne brojeve |
ex 7210 (a) |
- platirani |
CTHS |
ex 7210 (b) |
- platirani ili prevučeni kalajem, štampani ili lakirani |
CTH |
ex 7210 (v) |
- platirani ili prevučeni cinkom, talasasti |
CTH |
ex 7210 (g) |
- ostalo |
CTH |
7211 |
Pljosnati valjani proizvodi od gvožđa ili nelegiranog čelika, širine manje od 600 mm, neplatirani niti prevučeni |
Kao što je navedeno za ex tarifne brojeve |
ex 7211 (a) |
- toplo valjani |
CTH, osim iz tarifnog broja 7208 |
ex 7211 (b) |
- hladno valjani (hladno redukovani) |
CTHS, osim iz tarifnog broja 7209 |
7212 |
Pljosnati valjani proizvodi od gvožđa ili nelegiranog čelika, širine manje od 600 mm, platirani ili prevučeni |
Kao što je navedeno za ex tarifne brojeve |
ex 7212 (a) |
- platirani |
CTHS, osim iz tarifnog broja 7210 |
ex 7212 (b) |
- ostali |
CTH, osim iz tarifnog broja 7210 |
7213 |
Šipke, toplo valjane, u labavo namotanim koturovima, od gvožđa ili nelegiranog čelika |
CTH, osim iz tarifnog broja 7214 |
7214 |
Ostale šipke od gvožđa ili nelegiranog čelika, dalje neobrađivane nakon što su kovane, toplo valjane, toplo vučene ili toplo ekstrudirane, ali uključujući one koje su usukane posle valjanja |
CTH, osim iz tarifnog broja 7213 |
7215 |
Ostale šipke od gvožđa ili nelegiranog čelika |
CTH |
7216 |
Profili od gvožđa ili nelegiranog čelika |
Kao što je navedeno za ex tarifne brojeve |
ex 7216 (a) |
- dalje neobrađivani, osim toplog valjanja |
CTH, osim iz tar. br. 7208, 7209, 7210, 7211 ili 7212, i osim iz tar. br. 7213, 7214 ili 7215, kada je promena rezultat odsecanja ili savijanja. |
ex 7216 (b) |
- dalje neobrađivani, osim hladnog valjanja |
CTH, osim iz tarifnog broja 7209 ili ex tarifnog broja 7211 (b), i osim iz tarifnog broja 7215, kada je promena rezultat odsecanja ili savijanja. |
ex 7216 (v) |
- dlatirani |
CTHS |
ex 7216 (g) |
- ostali |
CTH, osim iz tar. br. 7208 do 7215 |
7217 |
Žica od gvožđa ili nelegiranog čelika |
CTH, osim iz tar. br. 7213 do 7215; ili promena iz tar. br. 7213 do 7215, pod uslovom da je materijal hladno oblikovan. |
7218 |
Nerđajući čelik u ingotima ili drugim primarnim oblicima; Poluproizvodi od nerđajućeg čelika |
CTH |
7219 |
Pljosnati valjani proizvodi od nerđajućeg čelika, širine 600 mm ili veće |
Kao što je navedeno za ex tarifne brojeve |
ex 7219 (a) |
- dalje neobrađivani, osim toplog valjanja |
CTH |
ex 7219 (b) |
- dalje neobrađivani, osim hladnog valjanja |
CTHS |
ex 7219 (v) |
- platirani |
CTHS |
ex 7219 (g) |
- ostali |
CTHS |
7220 |
Pljosnati valjani proizvodi od nerđajućeg čelika, širine manje od 600 mm |
Kao što je navedeno za ex tarifne brojeve |
ex 7220 (a) |
- dalje neobrađivani, osim toplog valjanja |
CTH, osim iz tarifnog broja 7219 |
ex 7220 (b) |
- dalje neobrađivani, osim hladnog valjanja |
CTHS |
ex 7220 (v) |
- platirani |
CTHS |
ex 7220 (g) |
- ostali |
CTHS |
7221 |
Šipke, toplo valjane, u labavo namotanim koturovima, od nerđajućeg čelika |
CTH, osim iz tarifnog broja 7222 |
7222 |
Šipke od nerđajućeg čelika; Profili, od nerđajućeg čelika |
Kao što je navedeno za ex tarifne brojeve |
ex 7222 (a) |
- šipke samo toplo valjane, dalje neobrađivane |
CTH, osim iz tarifnog broja 7221 |
ex 7222 (b) |
- profili samo toplo valjani, dalje neobrađivani |
CTH, osim iz tar. br. 7219 ili 7220 i osim iz tarifnog broja 7221 ili ex tarifnog broja 7222 (a) kada je promena rezultat odsecanja ili savijanja. |
ex 7222 (v) |
- šipke i profili samo hladno valjani, dalje neobrađivani |
CTH, osim iz ex tarifnog broja 7219 (b) ili ex tarifnog broja 7220 (b); ili CTHS iz ex tarifnog broja 7222 (a) |
ex 7222 (g) |
- šipke i profili, platirani |
CTHS |
ex 7222 (d) |
- ostale šipke |
CTH, osim iz tarifnog broja 7221 |
ex 7222 (đ) |
- ostali profili |
CTHS |
7223 |
Žica od nerđajućeg čelika |
CTH, osim iz tar. br. 7221 do 7222; ili promena iz tar. br. 7221 do 7222, pod uslovom da je materijal hladno oblikovan. |
7224 |
Ostali legirani čelici u ingotima ili drugim primarnim oblicima; Poluproizvodi od ostalih legiranih čelika |
CTH |
7225 |
Pljosnati valjani proizvodi od ostalih legiranih čelika, širine 600 mm ili veće |
Kao što je navedeno za ex tarifne brojeve |
ex 7225 (a) |
- dalje neobrađivani, osim toplog valjanja |
CTH |
ex 7225 (b) |
- dalje neobrađivani, osim hladnog valjanja |
CTHS |
ex 7225 (v) |
- platirani |
CTHS |
ex 7225 (g) |
- ostali |
CTH |
7226 |
Pljosnati valjani proizvodi od ostalih legiranih čelika, širine manje od 600 mm |
Kao što je navedeno za ex tarifne brojeve |
ex 7226 (a) |
- dalje neobrađivani, osim toplog valjanja |
CTH, osim iz tarifnog broja 7225 |
ex 7226 (b) |
- dalje neobrađivani, osim hladnog valjanja |
CTHS, osim od hladno valjanih proizvoda iz tarifnog broja 7225 |
ex 7226 (v) |
- platirani |
CTHS |
ex 7226 (g) |
- ostali |
CTHS, osim iz istog tarifnog podbroja |
7227 |
Šipke, toplo valjane, u labavo namotanim koturovima, od ostalih legiranih čelika |
CTH, osim iz tarifnog broja 7228 |
7228 |
Ostale šipke, od ostalih legiranih čelika; Profili od ostalih legiranih čelika; Šuplje bušaće šipke, od legiranih ili nelegiranih čelika |
Kao što je navedeno za ex tarifne brojeve |
ex 7228 (a) |
- šipke samo toplo valjane, dalje neobrađivane |
CTH, osim iz tarifnog broja 7227 |
ex 7228 (b) |
- profili samo toplo valjani, dalje neobrađivani |
CTH, osim iz tar. br. 7225 ili 7226 i osim iz tarifnog broja 7227 ili ex tarifnog broja 7228 (a) kada je promena rezultat odsecanja ili savijanja. |
ex 7228 (v) |
- šipke i profili samo hladno valjani, dalje neobrađivani |
CTH, osim iz ex tarifnog broja 7225 (b) ili ex tarifnog broja 7226 (b) ili CTHS iz ex tarifnog broja 7228 (a) |
ex 7228 (g) |
- šipke i profili, platirani |
CTHS |
ex 7228 (d) |
- ostale šipke |
CTHS |
ex 7228 (đ) |
- ostali profili |
CTHS |
7229 |
Žica od ostalih legiranih čelika |
CTH, osim iz tar. br. 7227 do 7228; ili promena iz tar. br. 7227 do 7228, pod uslovom da je materijal hladno oblikovan. |
PROIZVODI OD GVOŽĐA ILI ČELIKA
Napomena uz ovu glavu
Za tarifni broj 7318, prosto pričvršćivanje sastavnih delova bez brušenja u određeni oblik, toplotne i površinske obrade neće se smatrati dovoljnim za sticanje statusa proizvoda sa poreklom.
Preostalo pravilo uz ovu glavu:
Ako se zemlja porekla ne može utvrditi primenom osnovnih pravila, zemlja porekla robe je zemlja iz koje potiče najveći deo materijala, utvrđen na osnovu vrednosti materijala.
Tarifni broj HS 2022 |
Opis robe |
Osnovna pravila |
7301 |
Talpe od gvožđa ili čelika, uključujući bušene, probijene ili izrađene od sastavljenih elemenata; Zavareni profili, od gvožđa ili čelika |
CTH |
7302 |
Materijal za izgradnju železničkih i tramvajskih koloseka, od gvožđa ili čelika: šine, šine vođice i nazubljene šine, skretnički jezičci, srcišta, potezne motke i drugi delovi skretnica, pragovi (poprečne veze), riblje ploče, šinske stolice, klinovi šinskih stolica, podložne pločice, distantne šipke i motke i drugi delovi specijalno konstruisani za spajanje i pričvršćivanje šina |
CTH |
7303 |
Cevi i šuplji profili, od livenog gvožđa |
CTH |
7304 |
Cevi i šuplji profili, bešavni, od gvožđa (osim od livenog gvožđa) ili čelika. |
Kao što je navedeno za tarifne podbrojeve |
|
- Cevi za naftovode ili gasovode: |
|
7304 11 |
- - Od nerđajućeg čelika |
CTH |
7304 19 |
- - Ostale |
CTH |
|
- Zaštitne cevi ("casing"), proizvodne cevi ("tubing") i bušaće šipke, koje se koriste pri bušenju za dobijanje nafte ili gasa: |
|
7304 22 |
- - Bušaće šipke od nerđajućeg čelika |
CTH |
7304 23 |
- - Ostale bušaće šipke |
CTH |
7304 24 |
- - Ostalo, od nerđajućeg čelika |
CTH |
7304 29 |
- - Ostalo |
CTH |
|
- Ostale, kružnog poprečnog preseka, od gvožđa ili nelegiranog čelika: |
|
7304 31 |
- - Hladno vučene ili hladno valjane (hladno redukovane) |
CTH; ili promena iz šupljih profila iz tarifnog podbroja 7304 39 |
7304 39 |
- - Ostale |
CTH |
|
- Ostale, kružnog poprečnog preseka, od nerđajućeg čelika: |
|
7304 41 |
- - Hladno vučene ili hladno valjane (hladno redukovane) |
CTH, ili promena iz šupljih profila iz tarifnog podbroja 7304 49 |
7304 49 |
- - Ostale |
CTH |
|
- Ostale, kružnog poprečnog preseka, od drugih legiranih čelika: |
|
7304 51 |
- - Hladno vučene ili hladno valjane (hladno redukovane) |
CTH, ili promena iz šupljih profila iz tarifnog podbroja 7304 59 |
7304 59 |
- - Ostale |
CTH |
7304 90 |
- Ostale |
CTH |
7305 |
Ostale cevi (npr.: zavarene, zakovane ili zatvorene na sličan način), kružnog poprečnog preseka, čiji spoljašnji prečnik prelazi 406,4 mm, od gvožđa ili čelika |
CTH |
7306 |
Ostale cevi i šuplji profili (npr.: sa otvorenim spojevima, zavarene, zakovane ili zatvorene na sličan način), od gvožđa ili čelika |
CTH |
7307 |
Pribor za cevi (npr.: spojnice, kolena, mufovi), od gvožđa ili čelika |
CTH |
7308 |
Konstrukcije (osim montažnih zgrada iz tarifnog broja 9406) i delovi konstrukcija (npr.: mostovi i sekcije mostova, vrata za ustave, tornjevi, rešetkasti stubovi, krovovi, krovni kosturi, vrata i prozori i okviri za njih, pragovi za vrata, roloi, ograde i stubovi), od gvožđa ili čelika; Limovi, šipke, profili, cevi i slično, pripremljeni za upotrebu u konstrukcijama, od gvožđa ili čelika. |
Kao što je navedeno za ex tarifne brojeve |
ex 7308 (a) |
- konstrukcije |
CTHS |
ex 7308 (b) |
- delovi konstrukcija |
CTH |
ex 7308 (v) |
- ostalo |
CTH, osim iz tar. br. 7208 do 7216, 7301, 7304 do 7306 |
7309 |
Rezervoari, tankovi, bačve i slični kontejneri, za bilo koji materijal (osim komprimovanih ili tečnih gasova), od gvožđa ili čelika, zapremine preko 300 l, sa bez obloge ili toplotne izolacije, ali neopremljeni mehaničkim ili termičkim uređajima |
CTH |
7310 |
Tankovi, burad, bačve, limenke, limene kutije i slični kontejneri, za bilo koji materijal (osim komprimovanih ili tečnih gasova), od gvožđa ili čelika, zapremine ne preko 300 l, sa ili bez obloge ili toplotne izolacije, ali neopremljeni mehaničkim ili termičkim uređajima |
CTH |
7311 |
Kontejneri za komprimovane ili tečne gasove, od gvožđa ili čelika |
CTH |
7312 |
Upredena žica, užad, kablovi, pletene trake i slično, od gvožđa ili čelika, električno neizolovani |
CTH |
7313 |
Bodljikava žica, od gvožđa ili čelika; Upredena traka ili jednostruka pljosnata žica, sa bodljama ili bez njih, i labavo upredena dvostruka žica koja se upotrebljava za ograde, od gvožđa ili čelika. |
CTH |
7314 |
Tkanine (uključujući beskonačne trake), rešetke, mreže i ograde, od gvozdene ili čelične žice; Rešetke dobijene prosecanjem i razvlačenjem jednog komada lima ili trake, od gvožđa ili čelika |
CTH |
7315 |
Lanci i njihovi delovi, od gvožđa ili čelika |
CTH |
7316 |
Sidra (kotve), čaklje i njihovi delovi, od gvožđa ili čelika |
CTH |
7317 |
Ekseri, klinci, ekserčići za crtaće table, valoviti ekseri, spajalice (osim onih iz tarifnog broja 8305) i slični predmeti, od gvožđa ili čelika, sa ili bez glave od drugog materijala, ali isključujući takve proizvode sa glavom od bakra |
CTH |
7318 |
Vijci, navrtke, tirfoni, vijci s kukom, zakivci, zatezni klinovi, podloške (uključujući elastične podloške) i slični proizvodi, od gvožđa ili čelika |
CTH |
7319 |
Igle za šivenje, igle za pletenje, tupe igle, igle za kukičanje, igle za vezenje i slični proizvodi, za upotrebu u ruci, od gvožđa ili čelika; Sigurnosne i druge igle, od gvožđa ili čelika, na drugom mestu nepomenute ili neobuhvaćene |
CTH |
7320 |
Opruge i listovi za opruge, od gvožđa ili čelika |
CTH |
7321 |
Peći za zagrevanje prostorija, štednjaci, rešetkasta ognjišta, kuhinjske peći (uključujući i sa pomoćnim kazanom za centralno grejanje), roštilji, mangali, gasni rešoi, grejači tanjira i slični aparati za domaćinstvo, neelektrični, i njihovi delovi, od gvožđa ili čelika |
CTH |
7322 |
Radijatori za centralno grejanje, neelektrično zagrevani, i njihovi delovi, od gvožđa ili čelika; Grejači vazduha i distributori toplog vazduha (uključujući distributore koji takođe mogu distribuirati svež ili kondicioniran vazduh), neelektrično zagrevani, sa ugrađenim motornim ventilatorom, i njihovi delovi, od gvožđa ili čelika |
CTH |
7323 |
Stoni, kuhinjski i drugi proizvodi za domaćinstvo i njihovi delovi, od gvožđa ili čelika; Vuna od gvožđa ili čelika, sunđeri za ribanje posuđa i jastučići za ribanje ili poliranje, rukavice i slično, od gvožđa ili čelika |
CTH |
7324 |
Sanitarni proizvodi i njihovi delovi, od gvožđa ili čelika |
CTH |
7325 |
Ostali liveni proizvodi od gvožđa ili čelika |
CTH |
7326 |
Ostali proizvodi od gvožđa ili čelika |
CTH |
ALATI, NOŽARSKI PROIZVODI, KAŠIKE I VILJUŠKE, OD PROSTIH METALA; NJIHOVI DELOVI OD PROSTIH METALA
Osnovno pravilo: roba ili delovi proizvedeni od poluproizvoda (blanks)
(a) Zemlja porekla robe ili dela proizvedenog od poluproizvoda, koji je primenom Osnovnog pravila 2(a) za primenjivanje Harmonizovanog sistema svrstan u isti tarifni broj, tarifni podbroj ili međupodbroj kao i kompletan ili dovršen proizvod ili deo, jeste zemlja u kojoj su sve radne ivice, radne površine ili radni delovi oblikovani u krajnji oblik i dimenzije, pod uslovom da poluproizvod od kojih su proizvedeni, u stanju u kome je uvezen:
- nije mogao da funkcioniše; i
- nije bio obrađen dalje od osnovnog postupka štancovanja ili druge prerade neophodne da bi se materijal izvadio iz kovačke matrice ili kalupa za livenje;
(b) ako kriterijumi iz stava (a) nisu ispunjeni, zemlja porekla je zemlja porekla poluproizvoda iz ove glave.
Preostalo pravilo uz ovu glavu:
Ako se zemlja porekla ne može utvrditi primenom osnovnih pravila, zemlja porekla robe je zemlja iz koje potiče najveći deo materijala, utvrđen na osnovu vrednosti materijala.
Tarifni broj HS 2022 |
Opis robe |
Osnovna pravila |
8201 |
Ručni alat: ašovi, lopate, krampovi, budaci, motike, vile i grabulje; Sekire, kosiri i sličan alat za sečenje; Makaze svih vrsta za rezanje grana; Kose, srpovi, noževi za seno, makaze za živu ogradu, klinovi za cepanje stabala i ostali alat koji se koristi u poljoprivredi, hortikulturi ili šumarstvu |
CTH |
8202 |
Ručne testere; Listovi za testere svih vrsta (uključujući listove testera za urezivanje, prerezivanje, kao i listovi testera bez zubaca). |
Kao što je navedeno za tarifne podbrojeve |
8202 10 |
- Ručne testere |
CTH |
8202 20 |
- Listovi za tračne testere |
CTSH |
|
- Kružni listovi za testere, uključujući testerasta glodala: |
|
8202 31 |
- - Sa radnim delom od čelika |
CTSH |
8202 39 |
- - Ostalo, uključujući delove |
Kao što je navedeno za ex tarifne podbrojeve |
ex 8202 39 (a) |
- - zupci za testere i segmenti zubaca za kružne testere |
CTH |
ex 8202 39 (b) |
- - ostalo |
CTSHS |
8202 40 |
- Rezni lanci za testere |
Kao što je navedeno za ex tarifne podbrojeve |
ex 8202 40 (a) |
- - zupci za testere i segmenti zubaca za lančane testere |
CTH |
ex 8202 40 (b) |
- - ostalo |
CTSHS |
|
- Ostali listovi za testere: |
|
8202 91 |
- - Pravi (ravni) listovi za testere, za obradu metala |
CTSH |
8202 99 |
- - Ostalo |
CTSH |
8203 |
Turpije, rašpe, klešta (uključujući klešta za sečenje), pincete, makaze sa sečenje metala, sekači cevi, sekači svornjaka, klešta za bušenje i sličan ručni alat |
CTSH |
8204 |
Obični i francuski ključevi za vijke, ručni (uključujući moment ključeve); Izmenljivi ulošci za ključeve, sa ili bez drške |
CTSH |
8205 |
Ručni alat (uključujući staklorezačke dijamante), koji na drugom mestu nije pomenut niti uključen; Lampe za lemljenje; Mengele, stege i slično, osim pribora i delova za mašine alatke ili mašine za sečenje vodenim mlazom; Nakovnji; Prenosne kovačnice; Tocila sa postoljem, okretana rukom ili pedalom |
CTH |
8206 |
Alat iz dva ili više tar. br. 8202 do 8205, u setovima za prodaju na malo |
CTH |
8207 |
Izmenljivi alat za ručne alatke, sa ili bez mehaničkog pogona, ili za mašine alatke (npr.: za presovanje, otkivanje, utiskivanje, probijanje, narezivanje i urezivanje navoja, bušenje, proširivanje otvora, struganje, provlačenje, glodanjeili za odvijanje/zavijanje odvrtkama) uključujući matrice za izvlačenje ili ekstrudiranje metala i alata za bušenje stena i zemlje |
Kao što je navedeno za tarifne podbrojeve |
|
- Alat za bušenje stena i zemlje: |
|
8207 13 |
- - Sa radnim delom od kermeta |
CTSH |
8207 19 |
- - Ostalo, uključujući delove |
Kao što je navedeno za ex tarifne podbrojeve |
ex 8207 19 (a) |
- - delovi |
CTH |
ex 8207 19 (b) |
- - ostalo |
CTSHS |
8207 20 |
- Matrice za vučenje ili ekstrudiranje metala |
CTSH |
8207 30 |
- Alat za presovanje, kovanje, izvlačenje ili prosecanje |
CTSH |
8207 40 |
- Alat za narezivanje ili urezivanje navoja |
CTSH |
8207 50 |
- Alat za bušenje, osim za bušenje stena i zemlje |
CTSH |
8207 60 |
- Alat za proširivanje otvora, uključujući bušenjem |
CTSH |
8207 70 |
- Alat za glodanje |
CTSH |
8207 80 |
- Alat za struganje |
CTSH |
8207 90 |
- Ostali izmenljivi alat |
CTSH |
MAŠINE, APARATI I MEHANIČKI UREĐAJI; ELEKTROTEHNIČKI PROIZVODI; NJIHOVI DELOVI; APARATI ZA SNIMANJE I REPRODUKCIJU ZVUKA, TELEVIZIJSKI APARATI ZA SNIMANJE I REPRODUKCIJU SLIKE I ZVUKA, DELOVI I PRIBOR ZA TE PROIZVODE
NUKLEARNI REAKTORI, KOTLOVI, MAŠINE I MEHANIČKI UREĐAJI I NJIHOVI DELOVI
Osnovno pravilo: delovi i pribor proizvedeni od poluproizvoda (blanks):
Zemlja porekla robe proizvedene od poluproizvoda, koja je primenom Osnovnog pravila 2(a) za primenjivanje Harmonizovanog sistema svrstana u isti tarifni broj, tarifni podbroj ili međupodbroj kao i kompletan ili dovršen proizvod, jeste zemlja u kojoj je poluproizvod dovršen, pod uslovom da dovršavanje uključuje konfiguraciju do konačnog oblika odstranjivanjem materijala (pored običnog brušenja ili poliranja ili oba ova postupka) ili postupka njegovog formiranja kao što je savijanje, kovanje, presovanje ili štancovanje.
Stav 1. odnosi se na robu koja se može svrstati na osnovu odredaba za delove ili delove i pribor, uključujući robu posebno navedenu pod ovim odredbama.
Definicija "sastavljanja poluprovodničkih proizvoda"
Osnovno pravilo "sastavljanje poluprovodničkih proizvoda" koje se upotrebljava u tabeli u nastavku, znači promenu iz čipova ili drugih poluprovodničkih proizvoda u čipove, ili druge poluprovodničke proizvode koji su zapakovani ili montirani na zajednički medijum za povezivanje ili su povezani a zatim montirani. Sastavljanje poluprovodničkih proizvoda ne smatra se minimalnim postupkom.
Napomene uz ovu glavu
Napomena 1: Kompleti delova
Kada je promena u svrstavanju rezultat primene Osnovnog pravila 2(a) za primenjivanje Harmonizovanog sistema u pogledu kompleta delova koji predstavljaju nesastavljeni proizvod iz drugog tarifnog broja ili podbroja, pojedinačni delovi zadržavaju svoje poreklo pre stavljanja u komplet.
Napomena 2: Sklapanje kompleta delova
Roba koja je sklopljena od kompleta delova, svrstana kao sklopljena roba primenom Osnovnog pravila 2, ima poreklo zemlje u kojoj je sklopljena, pod uslovom da bi sklapanjem bilo zadovoljeno osnovno pravilo za robu da je svaki od delova bio prikazan odvojeno, a ne kao komplet.
Napomena 3: Rasklapanje robe
Promena u svrstavanju koja je rezultat rasklapanja robe ne može se smatrati promenom koju zahteva pravilo utvrđeno u Listi. Zemlja porekla delova dobijenih rasklapanjem robe je zemlja u kojoj su delovi dobijeni, osim ako uvoznik, izvoznik ili neko drugo lice koje ima opravdan razlog za utvrđivanje porekla delova ne dokaže, na osnovu proverljivog dokaza, da je zemlja porekla neka druga zemlja.
Preostalo pravilo uz ovu glavu:
Ako se zemlja porekla ne može utvrditi primenom osnovnih pravila, zemlja porekla robe je zemlja iz koje potiče najveći deo materijala, utvrđen na osnovu vrednosti materijala.
Tarifni broj HS 2022 |
Opis robe |
Osnovna pravila |
ex 8443 |
Aparati za fotokopiranje sa ugrađenim optičkim sistemom ili aparati za kontaktno kopiranje |
CTH |
ex 8473 |
Memorijski moduli |
CTH ili sastavljanje poluprovodničkih proizvoda |
ex 8482 |
Kuglični, valjkasti ili igličasto-valjkasti ležaji, sastavljeni |
Sastavljanje kojem je prethodila termička obrada, brušenje i poliranje unutrašnjih i spoljašnjih prstenova |
ELEKTRIČNE MAŠINE I OPREMA I NJIHOVI DELOVI; APARATI ZA SNIMANJE I REPRODUKCIJU ZVUKA, TELEVIZIJSKI APARATI ZA SNIMANJE I REPRODUKCIJU SLIKE I ZVUKA, DELOVI I PRIBOR ZA TE PROIZVODE
Osnovno pravilo: delovi i pribor proizvedeni od poluproizvoda (blanks):
Zemlja porekla robe proizvedene od poluproizvoda, koja je primenom Osnovnog pravila 2(a) za primenjivanje Harmonizovanog sistema svrstana u isti tarifni broj, tarifni podbroj ili međupodbroj kao i kompletan ili dovršen proizvod, jeste zemlja u kojoj je poluproizvod dovršen, pod uslovom da dovršavanje uključuje konfiguraciju do konačnog oblika odstranjivanjem materijala (pored običnog brušenja ili poliranja ili oba ova postupka) ili postupka njegovog formiranja kao što je savijanje, kovanje, presovanje ili štancovanje.
Stav 1. odnosi se na robu koja se može svrstati pod odredbama za delove ili delove i pribor, uključujući robu posebno navedenu pod ovim odredbama.
Definicija "sastavljanja poluprovodničkih proizvoda"
Osnovno pravilo "sastavljanje poluprovodničkih proizvoda" koje se upotrebljava u Listi, znači promenu iz čipova ili drugih poluprovodničkih proizvoda u čipove ili druge poluprovodničke proizvode, koji su zapakovani ili montirani na zajednički medijum za povezivanje ili su povezani a zatim montirani. Sastavljanje poluprovodničkih proizvoda ne smatra se minimalnim postupkom.
Napomene uz ovu glavu
Napomena 1: Kompleti delova
Kada je promena u svrstavanju rezultat primene Osnovnog pravila 2(a) za primenjivanje Harmonizovanog sistema u pogledu kompleta delova koji predstavljaju nesastavljeni proizvod iz drugog tarifnog broja ili podbroja, pojedinačni delovi zadržavaju svoje poreklo pre stavljanja u komplet.
Napomena 2: Sklapanje kompleta delova
Roba koja je sklopljena od kompleta delova, svrstana kao sklopljena roba primenom Osnovnog pravila 2, ima poreklo zemlje u kojoj je sklopljena, pod uslovom da bi sklapanjem bilo zadovoljeno osnovno pravilo za robu da je svaki od delova bio prikazan odvojeno, a ne kao komplet.
Napomena 3: Rasklapanje robe
Promena u svrstavanju koja je rezultat rasklapanja robe ne može se smatrati promenom koju zahteva pravilo utvrđeno u Listi. Zemlja porekla delova dobijenih rasklapanjem robe je zemlja u kojoj su delovi dobijeni, osim ako uvoznik, izvoznik ili neko drugo lice koje ima opravdan razlog za utvrđivanje porekla delova, ne dokaže da je zemlja porekla neka druga zemlja, na osnovu proverljivog dokaza, kao što je oznaka porekla na samom delu ili dokumentacija.
Preostalo pravilo uz ovu glavu:
Ako se zemlja porekla ne može utvrditi primenom osnovnih pravila, zemlja porekla robe je zemlja iz koje potiče najveći deo materijala, utvrđen na osnovu vrednosti materijala.
Tarifni broj HS 2022 |
Opis robe |
Osnovna pravila |
ex 8501 |
Fotonaponski moduli ili paneli od kristalnog silicijuma |
CTH, osim iz tarifnog broja 8541 |
ex 8523 59 |
Integrisano kolo sa zavojnicom za karticu sa čipovima |
CTH ili sastavljanje poluprovodničkih proizvoda |
ex 8525 80 (OVO NE ZNAM GDE JE PREŠLO) |
Poluprovodnička komponenta za slikovni prikaz |
CTH ili sastavljanje poluprovodničkih proizvoda |
8527 |
Prijemnici za radio-difuziju, uključujući i prijemnike kombinovane u istom kućištu sa aparatom za snimanje ili reprodukciju zvuka ili satom |
CTH, osim iz tarifnog broja 8529 |
8528 |
Monitori i projektori, bez ugrađenih televizijskih prijemnika; Televizijski prijemnici, sa ili bez ugrađenih radio prijemnika ili aparata za snimanje i reprodukciju zvuka ili slike |
CTH, osim iz tarifnog broja 8529 |
8535 |
Električni aparati za uključivanje/isključivanje ili zaštitu električnih strujnih kola ili za ostvarivanje priključivanja na ili u električna strujna kola (npr.: prekidači, osigurači, gromobrani, ograničavači napona, odvodnici prenapona, utikači i drugi konektori, razvodne kutije), za napone preko 1000 V |
CTH, osim iz tarifnog broja 8538; ili sastavljanje poluprovodničkih proizvoda |
ex 8536 |
Poluprovodnički električni aparati za uključivanje/isključivanje ili zaštitu električnih strujnih kola ili za ostvarivanje priključivanja na ili u električna strujna kola (npr.: prekidači, releji, osigurači, odvodnici prenapona, utikači i utičnice, sijalična grla i ostali konektori, razvodne kutije), za napone ne preko 1000 V |
CTH, osim iz tarifnog broja 8538; ili sastavljanje poluprovodničkih proizvoda |
8541 |
Poluprovodnički uređaji (npr.. diode, tranzistori, pretvarači na bazi poluprovodnika); Fotoosetljivi poluprovodnički uređaji, uključujući fotonaponske ćelije sastavljene ili nesastavljene u module ili obrazovane u ploče; Diode za emitovanje svetlosti (LED), sastavljene ili nesastavljene sa drugim diodama za emitovanje svetlosti (LED); Montirani piezo-električni kristali |
Kao što je navedeno za ex tarifne brojeve |
ex 8541 (a) |
fotonaponske ćelije, moduli ili paneli od kristalnog silicijuma |
CTH |
ex 8541 (b) |
ostalo |
CTH ili sastavljanje od poluprovodničkih proizvoda |
8542 |
Elektronska integrisana kola |
CTH ili sastavljanje od poluprovodničkih proizvoda |
ex 8548 90 (ne znam gde je prešlo) |
Moduli za pametno povezivanje, uključujući komunikacioni upravljački sklop i zaštićeni upravljački sklop za pametne kartice |
CTH ili sastavljanje od poluprovodničkih proizvoda |
OPTIČKI, FOTOGRAFSKI, KINEMATOGRAFSKI, MERNI, KONTROLNI, PRECIZNI, MEDICINSKI I HIRURŠKI INSTRUMENTI I APARATI; ČASOVNICI; MUZIČKI INSTRUMENTI; NJIHOVI DELOVI I PRIBOR
OPTIČKI, FOTOGRAFSKI, KINEMATOGRAFSKI, MERNI, KONTROLNI, PRECIZNI, MEDICINSKI I HIRURŠKI INSTRUMENTI I APARATI; NJIHOVI DELOVI I PRIBOR
Definicija "sastavljanja poluprovodničkih proizvoda"
Osnovno pravilo "sastavljanje poluprovodničkih proizvoda" koje se upotrebljava u Listi, znači promenu iz čipova ili drugih poluprovodničkih proizvoda u čipove ili druge poluprovodničke proizvode, koji su zapakovani ili montirani na zajednički medijum za povezivanje ili su povezani a zatim montirani. Sastavljanje poluprovodničkih proizvoda ne smatra se minimalnim postupkom.
Preostalo pravilo uz ovu glavu:
Ako se zemlja porekla ne može utvrditi primenom osnovnih pravila, zemlja porekla robe je zemlja iz koje potiče najveći deo materijala, utvrđen na osnovu vrednosti materijala.
Tarifni broj HS 2022 |
Opis robe |
Osnovna pravila |
ex 9029 |
Poluprovodnički senzor magnetnog polja sa magnetski zavisnim otpornicima, sa ili bez dodatne komponente za pripremu signala |
CTH, osim iz tarifnog broja 9033; ili sastavljanje poluprovodničkih proizvoda |
Preostalo pravilo uz ovu glavu:
Ako se zemlja porekla ne može utvrditi primenom osnovnih pravila, zemlja porekla robe je zemlja iz koje potiče najveći deo materijala, utvrđen na osnovu vrednosti materijala.
Tarifni broj HS 2022 |
Opis robe |
Osnovna pravila |
ex 9113 |
Kaiševi, trake i narukvice za časovnike i delovi za kaiševe, trake i narukvice, od tekstila |
CTH |
RAZNI PROIZVODI
NAMEŠTAJ, POSTELJINA, DUŠECI, NOSAČI DUŠEKA, JASTUCI I SLIČNI PUNJENI PROIZVODI; LAMPE I DRUGA SVETLEĆA TELA, NA DRUGOM MESTU NEPOMENUTI ILI UKLJUČENI; OSVETLJENI ZNACI, OSVETLJENE PLOČICE SA IMENIMA I SLIČNO; MONTAŽNE ZGRADE
Napomena uz ovu glavu
Radi primene ovih pravila o poreklu koja se odnose na promenu u svrstavanju robe (odnosno, promenu tarifnog broja ili promenu tarifnog podbroja), promene koje su rezultat promene upotrebe ne smatraju se dovoljnim za sticanje statusa proizvoda sa poreklom.
Preostalo pravilo uz ovu glavu:
Ako se zemlja porekla ne može utvrditi primenom osnovnih pravila, zemlja porekla robe je zemlja iz koje potiče najveći deo materijala, utvrđen na osnovu vrednosti materijala.
Tarifni broj HS 2022 |
Opis robe |
Osnovna pravila |
ex 9401 i ex 9403 |
Keramička sedišta (osim onih iz tarifnog broja 9402), uključujući ona koja se mogu pretvoriti u ležajeve, i ostali nameštaj, i njihovi delovi, dekorisani |
CTH |
ex 9405 |
Keramičke lampe i druga svetleća tela, uključujući reflektore i njihove delove, na drugom mestu nepomenuti niti obuhvaćeni, dekorisani; Osvetljeni keramički znaci, osvetljene pločice sa imenima i slično, sa stalno fiksiranim svetlosnim izvorom i njihovi delovi na drugom mestu nepomenuti niti obuhvaćeni, dekorisani |
CTH |
UVERENJE O POREKLU ZA ODREĐENE PROIZVODE NA KOJE SE PRIMENJUJU POSEBNI NEPREFERENCIJALNI UVOZNI REŽIMI
Uvodne napomene:
1. Uverenje o poreklu važi 12 meseci od datuma izdavanja od strane organa izdavalaca.
2. Uverenje o poreklu sastoji se od jednog lista označenog kao "originalni primerak" pored naziva dokumenta. Ako su neophodni dodatni primerci, oni sadrže oznaku "kopija" pored naziva dokumenta. Carinski organ Republike Srbije prihvata kao važeći samo originalni primerak uverenja o poreklu.
3. Dimenzije uverenja o poreklu iznose 210 × 297 mm. Dozvoljeno je odstupanje do plus 8 mm ili do minus 5 mm, po dužini. Uverenje se štampa na belom papiru, koji ne sadrži mehaničku pulpu i čija površinska masa nije manja od 40 g/m2. Na pozadini prednje strane, originalni primerak ima otisnut žuti "guilloche" uzorak, čime se omogućava da svako krivotvorenje mehaničkim ili hemijskim sredstvima bude uočljivo.
4. Uverenje o poreklu štampa se i popunjava pisaćom mašinom na srpskom ili engleskom jeziku. Uneti podaci se ne smeju brisati niti se sme pisati preko njih. Sve izmene se unose precrtavanjem pogrešnog podatka i, ako je potrebno, dodavanjem ispravnih podataka. Te izmene parafira lice koje ih je unelo i overavaju organi izdavaoci.
Svi dodatni podaci obavezni za sprovođenje zakonodavstva Republike Srbije kojim se uređuju posebni uvozni režimi unose se u rubriku 5. uverenja o poreklu.
Neiskorišćen prostor u rubrikama 5, 6. i 7. precrtava se tako da se ništa ne može dodati u kasnijoj fazi.
5. Svako uverenje o poreklu sadrži serijski broj, štampan ili unet na drugi način, po kome se ono može identifikovati, a overava ga pečatom organ izdavalac i potpisuju lica ovlašćena za to.
6. Uverenje o poreklu izdato naknadno sadrži u rubrici 5. napomenu na srpskom ili engleskom jeziku: "Naknadno izdato"/ "Issued retrospectively".

IZJAVA DOBAVLJAČA ZA PROIZVODE SA STATUSOM PREFERENCIJALNOG POREKLA
Izjava dobavljača, čiji je tekst naveden u nastavku, mora biti sastavljena u skladu sa fusnotama. Međutim, fusnote se ne moraju navoditi.
IZJAVA
Ja, dolepotpisani, izjavljujem da je roba navedena u ovoj ispravi...................... (1) poreklom iz........................... (2) i u skladu sa pravilima o poreklu kojima se uređuje preferencijalna trgovina sa.......................... (3) :
Izjavljujem da se (4):
□ Primenjuje kumulacija sa............................... (ime zemlje/zemalja)
□ Ne primenjuje kumulacija
Obavezujem se da stavim na raspolaganje carinskim organima sve dalje prateće isprave koje zahtevaju:
................................... (5)
................................... (6)
................................... (7)
_____________
(1) Ako se to odnosi samo na neku robu navedenu
u ispravi, ona se jasno navodi ili obeležava i to obeležavanje se unosi u izjavu na sledeći
način:
............................. navedena u ovoj ispravi i obeležena.........................
je poreklom iz....................................
(2) Republika Srbija, zemlja, grupa zemalja ili teritorija
iz kojih je roba poreklom.
(3) Data zemlja, grupa zemalja ili teritorija. Ako se preferencijalno poreklo proizvoda iz zemlje, grupe zemalja ili teritorija može steći na osnovu više od jednog pravila o poreklu, dobavljači navode pravni osnov za utvrđivanje porekla robe (PEM Konvencija i/ili Prelazna pravila o poreklu). Ako je zemlja, grupa zemalja ili teritorija strana ugovornica PEM Konvencije i ako pravni osnov nije naveden, smatra se da se izjavom dobavljača navodi da je PEM Konvencija primenjena za utvrđivanje porekla robe.
(4) Popuniti, po potrebi, samo za robu sa statusom
preferencijalnog porekla u kontekstu preferencijalnih trgovinskih odnosa sa jednom od zemalja
sa kojom se primenjuje pan-evro-mediteranska kumulacija porekla.
(5) Mesto i datum
(6) Ime i pozicija u privrednom društvu.
(7) Potpis.
DUGOROČNA IZJAVA DOBAVLJAČA ZA PROIZVODE SA STATUSOM PREFERENCIJALNOG POREKLA
Izjava dobavljača, čiji je tekst naveden u nastavku, mora biti sastavljena u skladu sa fusnotama. Međutim, fusnote se ne moraju navoditi.
IZJAVA
Ja, dolepotpisani, izjavljujem da je roba opisana u nastavku:
............................................... (1)
............................................... (2)
koja se redovno isporučuje............................. (3), poreklom iz........................................ (4) i u skladu sa pravilima o poreklu kojima se uređuje preferencijalna trgovina sa.................................... (5).
Izjavljujem da se (6):
□ Primenjuje kumulacija sa............................. (ime zemalja)
□ Ne primenjuje kumulacija
Ova izjava važi za sve pošiljke ovih proizvoda otpremljene iz:.................................. do................... (7).
Obavezujem se da odmah obavestim............................. ako prestane važenje ove izjave.
Obavezujem se da stavim na raspolaganje carinskim organima sve dalje potporne dokumente koje zahtevaju.
............................................. (8)
............................................. (9)
............................................. (10)
______________
(1) Opis.
(2) Trgovački naziv kako se koristi na fakturama,
npr. model br.
(3) Naziv privrednog društva kome se roba isporučuje.
(4) Republika Srbija, zemlja, grupa zemalja
ili teritorija iz kojih je roba poreklom.
(5) Data zemlja, grupa zemalja ili teritorija. Ako se preferencijalno poreklo proizvoda iz zemlje, grupe zemalja ili teritorija može steći na osnovu više od jednog pravila o poreklu, dobavljači navode pravni osnov za utvrđivanje porekla robe (PEM Konvencija i/ili Prelazna pravila o poreklu). Ako je zemlja, grupa zemalja ili teritorija strana ugovornica PEM Konvencije i ako pravni osnov nije naveden, smatra se da se izjavom dobavljača navodi da je PEM Konvencija primenjena za utvrđivanje porekla robe.
(6) Popuniti, po potrebi, samo za robu sa statusom
preferencijalnog porekla u kontekstu preferencijalnih trgovinskih odnosa sa jednom od zemalja
sa kojom se primenjuje pan-evro-mediteranska kumulacija porekla.
(7) Navesti datume. Period ne sme preći 24 meseca
odnosno 12 meseci ako je izjava izdata naknadno.
(8) Mesto i datum.
(9) Ime i pozicija u privrednom društvu, naziv
i adresa privrednog društva.
(10) Potpis.
IZJAVA DOBAVLJAČA ZA PROIZVODE BEZ STATUSA PREFERENCIJALNOG POREKLA
Izjava dobavljača, čiji je tekst naveden u nastavku, mora biti sastavljena u skladu sa fusnotama. Međutim, fusnote se ne moraju navoditi.
IZJAVA
Ja, dolepotpisani, dobavljač robe obuhvaćene priloženim dokumentom, izjavljujem da:
1. Sledeći materijali koji nemaju status preferencijalnog porekla upotrebljeni su u Republici Srbiji za proizvodnju ove robe:
Opis isporučene robe (1) |
Opis upotrebljenih materijala bez porekla |
HS tarifni broj upotrebljenih materijala bez porekla (2) |
Vrednost upotrebljenih materijala bez porekla (3) |
|
|
|
|
|
|
|
|
|
|
|
Ukupno: |
2. Svi ostali materijali upotrebljeni u Republici Srbiji za proizvodnju ove robe poreklom su iz........................... 4) i u skladu su sa pravilima o poreklu kojima se uređuje preferencijalna trgovina sa................... 5) i
Izjavljujem da se: (6)
□ Primenjuje kumulacija sa.................................................... (ime zemalja)
□ Ne primenjuje kumulacija
Obavezujem se da stavim na raspolaganje carinskim organima sve dalje prateće isprave koje zahtevaju
....................................... (7)
....................................... (8)
....................................... (9)
__________________
(1) Kada se faktura, otpremnica ili drugi komercijalni
dokument kome je priključena izjava odnosi na drugu vrstu robe ili robu koja ne sadrži u
istoj meri materijale bez porekla, dobavljač mora jasno navesti razliku.
Primer:
Dokumentom su obuhvaćeni različiti modeli elektromotora pod tarifnim brojem 8501 koje treba
upotrebiti u proizvodnji mašina za pranje veša pod tarifnim brojem 8450. Priroda i vrednost
materijala bez porekla upotrebljenih u proizvodnji motora razlikuje se od modela do modela.
Modeli moraju biti zasebno navedeni u koloni 1, a informacije iz ostalih kolona moraju biti
date za svaki, tako da proizvođač mašina za pranje veša može pravilno proceniti status proizvoda
sa poreklom svakog od svojih proizvoda u zavisnosti od tipa motora ugrađenog u njega.
(2) Popuniti samo ako je potrebno.
Primer:
Pravilom za odeću iz Glave 62. omogućena je upotreba prediva bez porekla. Prema tome, ako
proizvođač odeće iz Srbije upotrebljava tkaninu izrađenu u Makedoniji od prediva bez porekla,
dobavljač iz Makedonije unosi samo "predivo" kao materijale bez porekla u kolonu
2 svoje deklaracije - HS tarifni broj i vrednost prediva nisu od značaja.
Preduzeće koje proizvodi žicu pod HS tarifnim brojem 7217 od gvozdenih šipki bez porekla
mora uneti "gvozdene šipke" u kolonu 2. Ako žicu treba ugraditi u mašinu za koju
se pravilom o poreklu određuje procentualno ograničenje vrednosti upotrebljenih materijala
bez porekla, vrednost šipki se mora uneti u kolonu 4.
(3) "Vrednost" - carinska vrednost
materijala u trenutku uvoza ili, ako ona nije poznata i ne može se ustanoviti, prva cena
za koju se može ustanoviti da je plaćena za materijale u Republici Srbiji.
Za svaku vrstu upotrebljenog materijala bez porekla navesti tačnu vrednost po jedinici robe
prikazanu u koloni 1.
(4) Popuniti samo ako je od značaja. Republika Srbija, zemlja, grupa zemalja ili teritorija iz kojih je roba poreklom.
(5) Popuniti samo ako je od značaja. Data zemlja, grupa zemalja ili teritorija. Ako se preferencijalno poreklo proizvoda iz zemlje, grupe zemalja ili teritorija može steći na osnovu više od jednog pravila o poreklu, dobavljači navode pravni osnov za utvrđivanje porekla robe (PEM Konvencija i/ili Prelazna pravila o poreklu). Ako je zemlja, grupa zemalja ili teritorija strana ugovornica PEM Konvencije i ako pravni osnov nije naveden, smatra se da se izjavom dobavljača navodi da je PEM Konvencija primenjena za utvrđivanje porekla robe.
(6) Popuniti, po potrebi, samo za robu sa statusom
preferencijalnog porekla u kontekstu preferencijalnih trgovinskih odnosa sa jednom od zemalja
sa kojom se primenjuje pan-evro-mediteranska kumulacija porekla.
(7) Mesto i datum.
(8) Ime i funkcija, naziv i adresa privrednog
društva.
(9) Potpis.
DUGOROČNA IZJAVA DOBAVLJAČA ZA PROIZVODE BEZ STATUSA PREFERENCIJALNOG POREKLA
Izjava dobavljača, čiji je tekst naveden u nastavku, mora biti sastavljena u skladu sa fusnotama. Međutim, fusnote se ne moraju navoditi.
IZJAVA
Ja, dolepotpisani, dobavljač robe obuhvaćene ovim dokumentom, koja se redovno šalje................................ (1), izjavljujem da:
1. Sledeći materijali koji nemaju status preferencijalnog porekla upotrebljeni su u Republici Srbiji za proizvodnju ove robe:
Opis isporučene robe (2) |
Opis upotrebljenih materijala bez porekla |
HS tarifni broj upotrebljenih materijala bez porekla (3) |
Vrednost upotrebljenih materijala bez porekla (4) |
|
|
|
|
|
|
|
|
|
|
|
Ukupno: |
2. Svi ostali materijali upotrebljeni u Republici Srbiji za proizvodnju ove robe poreklom su iz....................................................... (5) i u skladu su sa pravilima o poreklu kojima se uređuje preferencijalna trgovina sa........................................... (6) i
Izjavljujem da se: (7)
□ Primenjuje kumulacija sa........................................ (ime zemalja)
□ Ne primenjuje kumulacija
Ova izjava važi za sve pošiljke ovih proizvoda otpremljene iz... do................................. (8).
Obavezujem se da odmah obavestim..................................... ako prestane važenje ove izjave.
Obavezujem se da stavim na raspolaganje carinskim organima sve dalje potporne dokumente koje zahtevaju.
.................................................... (9)
.................................................... (10)
................................................... (11)
_______________
(1) Naziv i adresa kupca.
(2) Kada se faktura, otpremnica ili drugi komercijalni
dokument kome je priključena izjava odnosi na drugu vrstu robe ili robu koja ne sadrži u
istoj meri materijale bez porekla, dobavljač mora jasno navesti razliku.
Primer:
Dokumentom su obuhvaćeni različiti modeli elektromotora pod tarifnim brojem 8501 koje treba
upotrebiti u proizvodnji mašina za pranje veša pod tarifnim brojem 8450. Priroda i vrednost
materijala bez porekla upotrebljenih u proizvodnji motora razlikuje se od modela do modela.
Modeli moraju biti zasebno navedeni u koloni 1, a informacije iz ostalih kolona moraju biti
date za svaki, tako da proizvođač mašina za pranje veša može pravilno proceniti status proizvoda
sa poreklom svakog od svojih proizvoda u zavisnosti od tipa motora ugrađenog u njega.
(3) Popuniti samo ako je potrebno.
Primer:
Pravilom za odeću iz Glave 62. omogućena je upotreba prediva bez porekla. Prema tome, ako
proizvođač odeće iz Srbije upotrebljava tkaninu izrađenu u Makedoniji od prediva bez porekla,
dobavljač iz Makedonije unosi samo "predivo" kao materijale bez porekla u kolonu
2 svoje deklaracije - HS tarifni broj i vrednost prediva nisu od značaja.
Preduzeće koje proizvodi žicu pod HS tarifnim brojem 7217 od gvozdenih šipki bez porekla
mora uneti "gvozdene šipke" u kolonu 2. Ako žicu treba ugraditi u mašinu za koju
se pravilom o poreklu određuje procentualno ograničenje vrednosti upotrebljenih materijala
bez porekla, vrednost šipki se mora uneti u kolonu 4.
(4) "Vrednost" - carinska vrednost
materijala u trenutku uvoza ili, ako ona nije poznata i ne može se ustanoviti, prva cena
za koju se može ustanoviti da je plaćena za materijale u Republici Srbiji.
Za svaku vrstu upotrebljenog materijala bez porekla navesti tačnu vrednost po jedinici robe
prikazanu u koloni 1.
(5) Popuniti samo ako je od značaja. Republika Srbija, zemlja, grupa zemalja ili teritorija iz kojih je roba poreklom.
(6) Popuniti samo ako je od značaja. Data zemlja, grupa zemalja ili teritorija. Ako se preferencijalno poreklo proizvoda iz zemlje, grupe zemalja ili teritorija može steći na osnovu više od jednog pravila o poreklu, dobavljači navode pravni osnov za utvrđivanje porekla robe (PEM Konvencija i/ili Prelazna pravila o poreklu). Ako je zemlja, grupa zemalja ili teritorija strana ugovornica PEM Konvencije i ako pravni osnov nije naveden, smatra se da se izjavom dobavljača navodi da je PEM Konvencija primenjena za utvrđivanje porekla robe.
(7) Popuniti, po potrebi, samo za robu sa statusom
preferencijalnog porekla u kontekstu preferencijalnih trgovinskih odnosa sa jednom od zemalja
sa kojom se primenjuje pan-evro-mediteranska kumulacija porekla.
(8) Navesti datume. Ovaj period ne treba biti
duži od 24 meseca.
(9) Mesto i datum.
(10) Ime i funkcija, naziv i adresa privrednog
društva.
(11) Potpis.
IZJAVA NA FAKTURI
Izjava na fakturi, čiji je tekst naveden u nastavku, mora biti sastavljena u skladu sa fusnotama. Međutim, fusnote se ne moraju navoditi.
Verzija na srpskom jeziku
Izvoznik proizvoda obuhvaćenih ovim dokumentom (broj carinskog ovlašćenja … (1)) izjavljuje da su, osim ako nije drugačije jasno navedeno, ovi proizvodi … (2) preferencijalnog porekla.
…………………………………………….. (3)
(Mesto i datum)
…………………………………………… (4)
(Potpis izvoznika; pored toga, ime lica koje potpisuje izjavu mora biti čitko napisano)
_______________
(1) Kada izjavu na fakturi sastavlja ovlašćeni
izvoznik, na ovom mestu se mora uneti broj ovlašćenja ovlašćenog izvoznika. Kada izjavu na
fakturi ne sastavlja ovlašćeni izvoznik, moraju se izostaviti reči u zagradama ili se mesto
mora ostaviti prazno.
(2) Treba navesti poreklo proizvoda.
(3) Ovi navodi se mogu izostaviti ako se te
informacije nalaze u samom dokumentu.
(4) Videti član 96. stav 5. ove uredbe. U slučajevima
kada izvoznik nije obavezan da stavi potpis, izuzeće od obaveze potpisivanja podrazumeva
i izuzeće od navođenja imena potpisnika.
Invoice declaration
The invoice declaration, the text of which is given below, must be made out in accordance with the footnotes. However, the footnotes do not have to be reproduced.
English version
The exporter of the products covered by this document (customs authorisation No … (1)) declares that, except where otherwise clearly indicated, these products are of … (2) preferential origin.
…………………………………………….. (3)
(Place and date)
…………………………………………… (4)
(Signature of exporter; in addition the name of the person signing the declaration has to be indicated in clear script)
_____________
(1) When the invoice declaration is made out by an
approved exporter, the authorisation number of the approved exporter must be entered in this
space. When the invoice declaration is not made out by an approved exporter, the words in
brackets must be omitted or the space left blank.
(2) Origin of products to be indicated.
(3) These indications may be omitted if the information
is contained on the document itself.
(4) See Article 96. Paragraph 5. of this regulation.
In cases where the exporter is not required to sign, the exemption of signature also implies
the exemption of the name of the signatory.









